【药物名称】Cetraxate hydrochloride, DV-1006, Neuer
化学结构式(Chemical Structure):
参考文献No.607583
标题:Medicinal chemical studies on antiplasmin drugs. 4. Chemical modification of trans-4-aminomethylcyclohexacarboxylic acid and its effect on antiplasmin activity
作者:Okano, A.; Inaoka, M.; Funabashi, S.; Iwamoto, M.; Isoda, S.
来源:J Med Chem 1972,15(3),247-255
合成路线图解说明:

By condensation of trans-4-toluenesulfonylaminomethylcyclohexane carbonyl chloride (I) and benzyl 4-hydroxyphenylpropionate (II) by means of Et3N and hot benzene followed by debenzylation using H2 over Pd/C in AcOH.

合成路线图解说明:

By condensation of trans-4-cyanocyclohexanecarbonyl chloride (III) and the benzyl ester (II) by means of triethylamine in hot benzene followed by debenzylation using H2 over Pd/C in acetic acid giving the cyanoester (IV), which is then reduced with H2 over Raney-Ni in ethyl acetate - ethanol - water.

参考文献No.701523
标题:
作者:Kitahara, S.
来源:JP 48075547
合成路线图解说明:

By condensation of trans-4-toluenesulfonylaminomethylcyclohexane carbonyl chloride (I) and benzyl 4-hydroxyphenylpropionate (II) by means of Et3N and hot benzene followed by debenzylation using H2 over Pd/C in AcOH.

参考文献No.701524
标题:
作者:Kitahara, S.
来源:JP 48078143
合成路线图解说明:

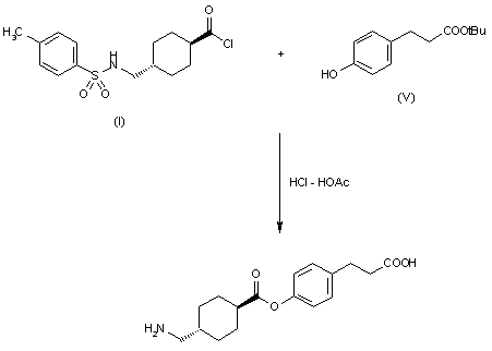
By condensation of trans-4-toluenesulfonylaminomethylcyclohexane carbonyl chloride (I) and ter-butyl-4-hydroxyphenylpropionate (V) and performing the hydrolysis with HCl - acetic acid at room temperature.

参考文献No.800688
标题:Cetraxate
作者:Roberts, P.J.; Casta馿r, J.
来源:Drugs Fut 1977,2(8),504
合成路线图解说明:

By condensation of trans-4-toluenesulfonylaminomethylcyclohexane carbonyl chloride (I) and benzyl 4-hydroxyphenylpropionate (II) by means of Et3N and hot benzene followed by debenzylation using H2 over Pd/C in AcOH.

合成路线图解说明:

By condensation of trans-4-cyanocyclohexanecarbonyl chloride (III) and the benzyl ester (II) by means of triethylamine in hot benzene followed by debenzylation using H2 over Pd/C in acetic acid giving the cyanoester (IV), which is then reduced with H2 over Raney-Ni in ethyl acetate - ethanol - water.

合成路线图解说明:

By condensation of trans-4-toluenesulfonylaminomethylcyclohexane carbonyl chloride (I) and ter-butyl-4-hydroxyphenylpropionate (V) and performing the hydrolysis with HCl - acetic acid at room temperature.

Drug Information Express,Drug R&D,Chemical Database,Patent Search.
Copyright © 2006-2026 Drug Future. All rights reserved.Contact Us