【药物名称】OKY-1581
化学结构式(Chemical Structure):
参考文献No.701318
标题:Pyridine derivatives
作者:Tanouchi, T.; et al.
来源:DE 2951786; FR 2445319; FR 2510108; GB 2039903; US 4271170; US 4317828
合成路线图解说明:

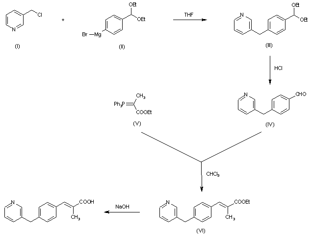
The reaction of 3-chloromethylpyridine (I) with the Grignard reagent of 4-bromobenzaldehyde diethylacetal (II) in THF gives 4-(3-pyridylmethyl)benzaldehyde diethylacetal (III), which is hydrolyzed with aqueous 1N HCl to 4-(3-pyridylmethyl)benzaldehyde (IV). The Wittig condensation of (IV) with 1-(ethoxycarbonyl)ethylidenetriphenylphosphorane (V) in CHCl3 affords 3-[4-(3-pyridylmethyl)phenyl]-2-methylacryl ic acid ethyl ester (VI), which is finally hydrolyzed with aqueous NaOH.

参考文献No.800407
标题:OKY-1581
作者:Hillier, K.; Serradell, M.N.; Blancafort, P.; Casta馿r, J.
来源:Drugs Fut 1982,7(6),399
合成路线图解说明:

The reaction of 3-chloromethylpyridine (I) with the Grignard reagent of 4-bromobenzaldehyde diethylacetal (II) in THF gives 4-(3-pyridylmethyl)benzaldehyde diethylacetal (III), which is hydrolyzed with aqueous 1N HCl to 4-(3-pyridylmethyl)benzaldehyde (IV). The Wittig condensation of (IV) with 1-(ethoxycarbonyl)ethylidenetriphenylphosphorane (V) in CHCl3 affords 3-[4-(3-pyridylmethyl)phenyl]-2-methylacryl ic acid ethyl ester (VI), which is finally hydrolyzed with aqueous NaOH.

Drug Information Express,Drug R&D,Chemical Database,Patent Search.
Copyright © 2006-2026 Drug Future. All rights reserved.Contact Us