【药物名称】Podofilox, Podophyllotoxin, Wartec, Condyline, Condylox
化学结构式(Chemical Structure):
参考文献No.565096
标题:Enzyme-assisted asymmetric total synthesis of (-)-podophyllotoxin and (-)-picropodophyllin
作者:Berkowitz, D.B.; Choi, S.; Maeng, J.H.
来源:J Org Chem 2000,65(3),847
合成路线图解说明:

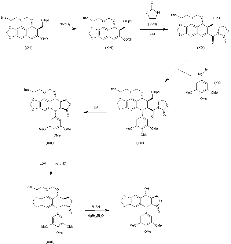
The formylation of 6-bromo-1,3-benzodioxole-5-carbaldehyde dimethyl acetal (I) with BuLi and DMF gives the 6-formyl derivative (II), which is reduced with NaBH4 in ethanol to yield the corresponding carbinol (III). The cyclization of (III) with dimethyl acetylenedicarboxylate (V) in hot acetic acid (through the nonisolated intermediate (IV)) affords dimethyl 1,4-epoxy-6,7-(methylenedioxy)naphthalene-2,3-dicarboxylate (VI), which is hydrogenated with H2 over Pd/C in ethyl acetate to give the (1R*,2S*,3R*,4S*)-tetrahydro derivative (VII). The reduction of (VII) with LiAlH4 in refluxing ethyl ether affords the corresponding bis carbinol (VIII), which is treated with acetic anhydride to afford the diacetate (IX). The enzymatic monodeacetylation of (VIII) with PPL enzyme in DMSO/buffer gives (1R,2R,3S,4S)-2-(acetoxymethyl)-1,4-epoxy-3-(hydroxymethyl)-6,7-(methylenedioxy)-1,2,3,4-tetrahydronaphthalene (X), which is silylated with TBDMS-Cl and imidazole in DMF yielding the silyl ether (XI). The hydrolysis of the acetoxy group of (XI) with K2CO3 in methanol affords the carbinol (XII), which is oxidized with oxalyl chloride in dichloromethane affording the carbaldehyde (XIII). The exchange of the silyl protecting group of (XIII) (for stability problems) provided the triisopropylsilyl ether (XIV), which is treated with sodium methoxide in methanol to open the epoxide ring yielding the hydroxy aldehyde (XV). The protection of the hydroxy group of (XV) with 2-(trimethylsilyl)ethoxymethyl chloride and DIEA in dichloromethane provides the corresponding ether (XVI). The carbinol (III) can also be obtained directly from 6-bromo-1,3-benzodioxole-5-carbaldehyde dimethyl acetal (I) by reaction with formaldehyde and BuLi in THF.

合成路线图解说明:

The oxidation of the aldehyde group of (XVI) with NaClO2 in tert-butanol affords the corresponding carboxylic acid (XVII), which is condensed with 2-oxazolidinone (XVIII) by means of carbonyldiimidazole (CDI) in THF to give the acyl imidazolide (XIX). The arylation of (XIX) with 3,4,5-trimethoxyphenylmagnesium bromide (XX) in THF yields the expected addition product (XXI), which is cyclized by means of TBAF in hot THF to afford the tetracyclic intermediate (XXII). Isomerization of the cis-lactone ring of (XXII) with LDA in THF affords intermediate (XXIII) with its lactone ring with the correct trans-conformation. Finally, this compound is deprotected with ethyl mercaptane and MgBr2 in ethyl ether to provide the target compound.

参考文献No.576772
标题:Synthesis of podophyllotoxin and related compounds
作者:Ward, R.S.
来源:Synthesis 1992,719
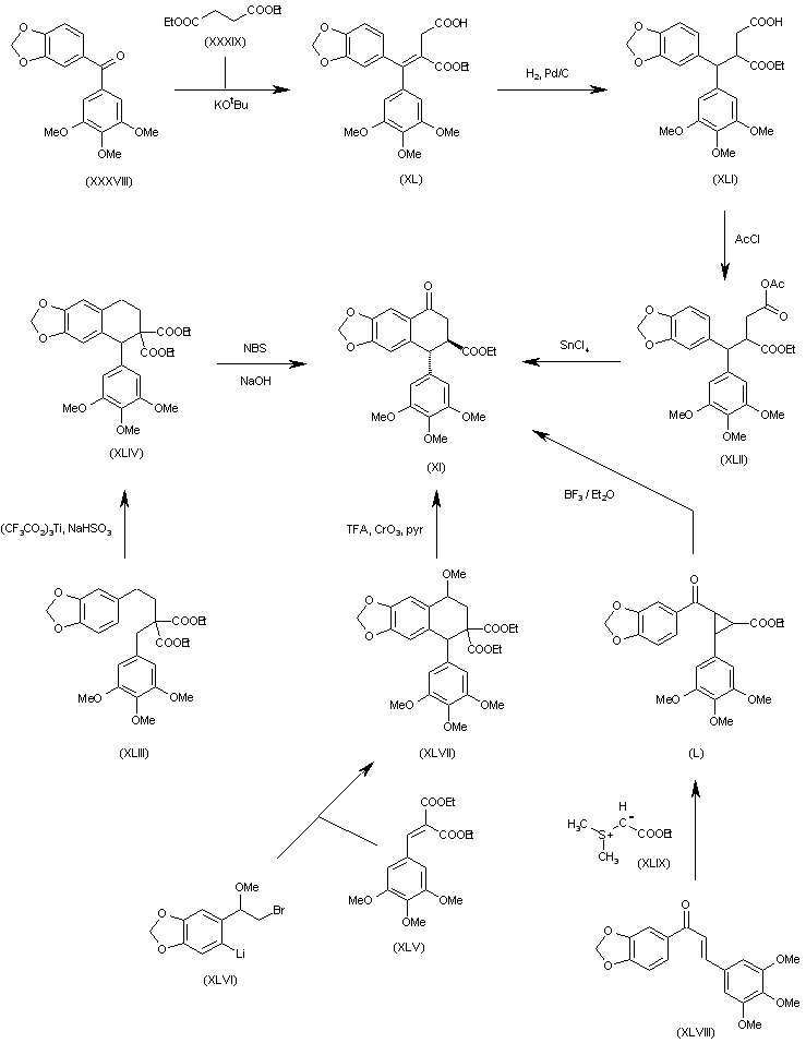
合成路线图解说明:

The intermediate trans-8-oxo-5-(3,4,5-trimethoxyphenyl)-5,6,7,8-tetra-hydronaphtho[2,3-d][1,3]benzodioxole-6-carboxylic acid ethyl ester (XI) has been obtained by several different ways: (a) The condensation of benzophenone (XXXVIII) with diethyl malonate (XXXIX) by means of t-BuOK gives the alkylidenemalonate (XL), which is hydrogenated with H2 over Pd/C to the alkylmalonate hemiester (XLI). The reaction of (XLI) with acetyl chloride affords the mixed anhydride (XLII), which is finally cyclized to the target (XI) by means of SnCl4. (b) The cyclization of the malonic ester derivative (XLIII) by means of Ti(CF3--CO2)3 gives the 5-(3,4,5-trimethoxyphenyl)-5,6,7,8-tetrahydronaphtho [2,3-d][1,3]dioxole-6,6-dicarboxylic acid dimethyl ester (XLIV), which is finally oxidized and decarboxylated with NBS and NaOH in methanol to afford the target intermediate (XI). (c) The cyclization of the benzylidenemalonate (XLV) with the aryllithium derivative (XLVI) gives the 8-methoxy-5-(3,4,5-trimethoxyphenyl)-5,6,7,8-tetrahydronaphtho[2,3-d][1,3]dioxole-6,6-dicarboxylic acid dimethyl ester (XLVII), which is demethylated with TFA and oxidized with CrO3 and pyridine to the target compound (XI). (d) The cyclopropanation of the chalcone (XLVIII) with (ethoxycarbonyl) (dimethylsulfonium)methylide (XLIX) gives the cyclopropanecarboxylate (L), which is finally rearranged with BF3/Et2O to the target intermediate (IX).

合成路线图解说明:

The cyclization of 3,4,5-trimethoxycinnamic acid ethyl ester (LI) with malonic acid ethyl ester potassium salt (LII) by means of Mn(OAc)3 gives the tetrahydrofuranone (LIII), which is acylated with 1,3-benzodioxol-5-ylcarbonyl chloride (LIV) yielding the tetrahydrofuranone (LV). Finally, this compound is rearranged and decarboxylated with SnCl4 to the target intermediate (XI).

合成路线图解说明:

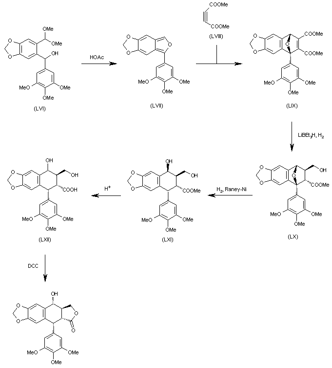
The cyclization of 6-[1-hydroxy-1-(3,4,5-trimethoxyphenyl)methyl]-1,3-benzodioxol-5-carbaldehyde dimethylacetal (LVI) by means of AcOH gives 5-(3,4,5-trimethoxyphenyl)-1,3-dioxolo[4,5-f]isobenzofuran (LVII), which is submitted to a Diels-Alder cyclization with acetylenedicarboxylic acid dimethyl ester (LVIII) yielding the epoxy derivative (LIX). The selective reduction of (LIX) with LiBEt3H and H2 affords the carbinol (LX), which is treated with H2 over RaNi in order to open the epoxide ring to give the diol (LXI) with the wrong configuration at the secondary OH group. The treatment of (LXI) with aqueous acid isomerizes the secondary OH group to (LXII) with the suitable configuration. Finally, this compound is cyclized with DCC to the desired target compound.

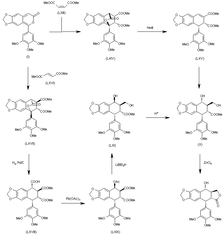
合成路线图解说明:

The Diels-Alder cyclization of 5-(3,4,5-trimethoxyphenyl)-7H-pyrano[3,4-f][1,3]benzodioxol-7-one (I) with dimethyl maleate (LXIII) gives the expected adduct (LXIV), which by thermal extrusion of CO2 yields the dihydronaphthodioxole (LXV). This compound is then converted to dihydroxycompound (X), which is finally cyclized by means of ZnCl2 to provide the target compound. The Diels-Alder cyclization of 5-(3,4,5-trimethoxyphenyl)-7H-pyrano[3,4-f][1,3]benzodioxol-7-one (I) with dimethyl fumarate (LXVI) gives the expected adduct (LXVII), which by hydrogenation with H2 over Pd/C yields the tricarboxylic acid derivative (LXVIII). The reaction of (LXVIII) with Pb(OAc)4 affords the acetoxy derivative (LXIX), which is selectively reduced with LiBEt3H providing the diol (LXI) with the wrong configuration at the secondary OH group. The treatment of (LXI) with aqueous acid isomerizes the secondary OH group to give the previously described (X) with the suitable configuration.

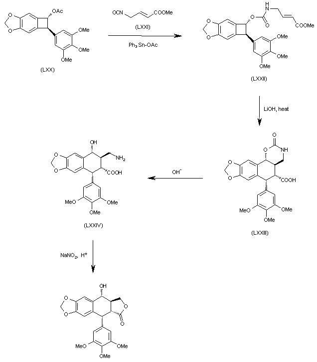
合成路线图解说明:

The reaction of benzocyclobutane derivative (LXX) with isocyanate (LXXI) by means of Ph3SnOAc gives the carbamate (LXXII), which is cyclized by a thermal treatment with LiOH yielding the tetracyclic carboxylic acid (LXXIII). The opening of the oxazinone ring of (LXXIII) in basic medium affords the tricyclic amino acid (LXXIV), which is finally cyclized to the target compound by reaction with sodium nitrite in acidic medium (pH = 4).

参考文献No.576773
标题:Total synthesis of ( ?) podophyllotoxin
作者:Kaneko, T.; et al.
来源:Tetrahedron Lett 1987,28(5),517
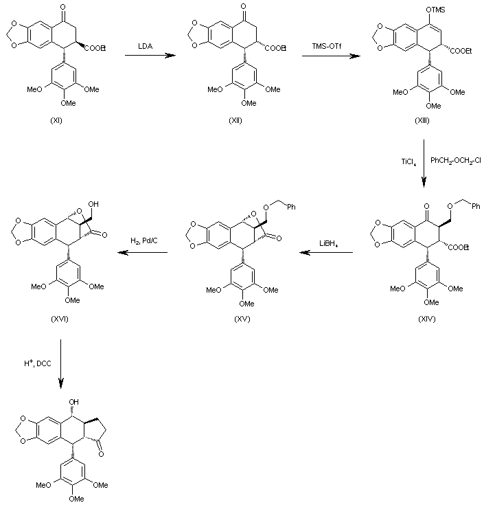
合成路线图解说明:

The isomerization of trans-8-oxo-5-(3,4,5-trimethoxyphenyl)-5,6,7,8-tetrahydronaphtho[2,3-d][1,3]benzodioxole-6-carboxylic acid ethyl ester (XI) with LDA gives the corresponding cis isomer (XII), which is treated with trimethylsilyl triflate yielding the silylated enol ether (XIII). The reaction of (XIII) with benzyloxymethyl chloride and TiCl4 affords the benzyloxymethyl derivative (XIV), which is reduced at the ketonic group with LiBH4 giving the lactone (XV). The debenzylation of (XV) with H2 over Pd/C yields the carbinol (XVI), which is rearranged to the target compound with DCC in acidic medium.

参考文献No.576774
标题:Asymmetric total synthesis of (-)-podophyllotoxin
作者:Jones, D.W.; Bush, E.J.
来源:J Chem Soc Chem Commun 1993,1200
合成路线图解说明:

The Diels-Alder cyclization of 5-(3,4,5-trimethoxyphenyl)-7H-pyrano[3,4-f][1,3]benzodioxol-7-one (I) with the chiral dihydrofuranone (II) in hot acetonitrile gives the pentacyclic anhydride (III), which is opened with warm acetic acid yielding the carboxylic acid (IV). Hydrogenation of the benzylic double bond of (IV) with H2 over Pd/C affords (V), which is treated with lead tetraacetate and acetic acid in THF to give the acetoxy compound (VI). The hydrolysis of the acetoxy group and the menthol hemiacetal group with HCl in hot dioxane yields the diol (VII), which is treated with diazomethane in ether/methanol affording the aldehyde (VIII). The reduction of the aldehyde group of (VIII) with LiEt3BH in THF gives the diol (IX) as a diastereomeric mixture, which is treated with HCl in THF to afford the diol (X) with the right conformation. Finally, this compound is lactonized to the target compound with ZnCl2 in THF.

参考文献No.576775
标题:Asymetric total synthesis of (-)-podophyllotoxin
作者:Andrews, R.C.; et al.
来源:J Am Chem Soc 1988,110(23),7854
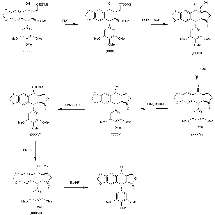
合成路线图解说明:

The bromination of 7-methylnaphtho[2,3-d][1,3]benzodioxole-6-carboxylic acid methyl ester (XVII) with NBS and AIBN in refluxing CCl4 gives the bromomethyl derivative (XVIII), which is treated with allyl alcohol (XIX) and NaH in THF yielding the corresponding allyl ether (XIX). The condensation of (XIX) with the chiral auxiliary (XX) by means of triethylamine and pyridine in acetonitrile affords the oxazolidine (XXII), which is treated with (PPh3)3RhCl and 1,4-diazabicyclo[2.2.2]octane in refluxing propanol giving the carbinol (XXIII). The protection of (XXIII) with TBDMS-Cl, Et3N and DMAP provides the silyl ether (XXIV), which is arylated with 3,4,5-trimethoxyphenyllithium (XXV) in THF giving intermediate (XXVI). Opening of the oxazoline ring of (XXVI) with TFA and acetic anhydride yields the carboxylic ester (XXVII), which is treated with Ti(O-i-Pr)4 in hot ethanol to afford the lactone (XXVIII). The reaction of (XXVIII) with NaOH in methanol, methylation with diazomethane and silylation with TBDMS-Cl gives the carboxylic ester (XXIX), which is treated with NBS in DMSO/THF to afford the chiral bromohydrine (XXX). The debromination of (XXX) with Bu3SnH and AIBN in refluxing toluene provides the hydroxyester (XXXI).

合成路线图解说明:

The oxidation of (XXXI) with pyridinium dichromate (PDC) gives the ketoester (XXXII). The reaction of (XXXII) with formaldehyde/NaOH and then with p-toluenesulfonic acid gives the hydroxymethyl lactone (XXXIII), which is submitted to a thermal extrusion of formaldehyde yielding (XXXIV). The regioselective reduction of the ketonic group of (XXXIV) with LiAl(OtBU)3H in THF affords hydroxylactone (XXXV) with undesired steric configuration at the lactone ring. The silylation of (XXXV) with TBDMS-OTf affords the silyl ether (XXXVI), which is isomerized with LiHMDS in THF giving (XXXVII) with the right configuration. Finally, this compound is desilylated to the target compound with triethylammonium fluoride in acetonitrile.

Drug Information Express,Drug R&D,Chemical Database,Patent Search.
Copyright © 2006-2026 Drug Future. All rights reserved.Contact Us