【药物名称】Carazolol, BM-51052
化学结构式(Chemical Structure):
参考文献No.47813
标题:Triyclic diphenylamines derivatives
作者:Leinert, H.; et al. (Boehringer Ingelheim GmbH)
来源:CH 598216; DE 2240599; FR 2196165; GB 1369580; JP 49056973
合成路线图解说明:

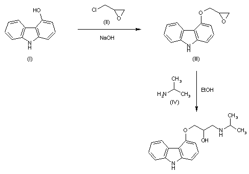
By condensation of 4-hydroxycarbazole (I) with epichlorohydrin (II) by means of NaOH in aqueous dioxane at 40 C to yield 4-(2,3-epoxypropoxy)carbazole (III), followed by treatment with isopropylamine (IV) in refluxing ethanol

参考文献No.800679
标题:Carazolol
作者:Weetman, D.F.; Casta馿r, J.
来源:Drugs Fut 1977,2(11),715
合成路线图解说明:

By condensation of 4-hydroxycarbazole (I) with epichlorohydrin (II) by means of NaOH in aqueous dioxane at 40 C to yield 4-(2,3-epoxypropoxy)carbazole (III), followed by treatment with isopropylamine (IV) in refluxing ethanol

Drug Information Express,Drug R&D,Chemical Database,Patent Search.
Copyright © 2006-2026 Drug Future. All rights reserved.Contact Us