【药物名称】Sch-417690, SCH-D
化学结构式(Chemical Structure):
参考文献No.45660
标题:Cyclic amide cpds., process for the preparation of the same and uses thereof
作者:Imamura, S.; Baba, M.; Ishihara, Y.; Hashiguchi, S.; Kanzaki, N.; Nishimura, O. (Takeda Chemical Industries, Ltd.)
来源:EP 1180513; JP 2001011073; WO 0066551
合成路线图解说明:

The reaction of 4-(trifluoromethyl)styrene (I) with mCPBA in dichloromethane gives the epoxide (II), which is treated with MeONa in methanol to yield the benzyl alcohol (III). The reaction of (III) with MsCl and TEA affords the mesylate (IV), which is condensed with the monoprotected piperazine (V) in refluxing acetonitrile to provide a diastereomeric mixture of compounds (VI) + (VII) that is resolved by flash chromatography. The desired isomer (VII) is deprotected by means of HCl or TFA to give piperazine (VIII), which is condensed with N-Boc-4-piperidone (IX) with simultaneous alkylation by means of Ti(OiPr)4 and Et2Al-CN in refluxing dichloromethane to yield the intermediate (X). The reaction of (X) with MeMgBr in THF affords the methylated compound (XI), which is deprotected by means of TFA to provide the substituted piperidine derivative (XII). Finally, this compound is acylated by means of 4,6-dimethylpyrimidine-5-carbonyl chloride (XIII) and aqueous NaOH in dichloromethane to provide the target compound. (1-3)

参考文献No.56181
标题:Piperazine derivs. useful as CCR5 antagonists
作者:Neustadt, B.R.; Smith, E.M.; McKittrick, B.A.; McCombie, S.W.; Tagat, J.R.; Clader, J.W.; Vice, S.F.; Baroudy, B.M.; Josien, H.B.; Miller, M.W.; Palani, A.; Steensma, R.; Gilbert, E.; Labroli, M.A. (Schering Corp.)
来源:US 6391865
合成路线图解说明:

Enantioselective reduction of 4-trifluoromethylacetophenone (I) with borane-methyl sulfide complex in the presence of the chiral oxaborolidine (II) provided the (R)-alcohol (III) in high enantiomeric excess. Treatment of (III) with methanesulfonyl chloride and Et3N yielded the corresponding mesylate (IV). Displacement of the mesylate group of (IV) with the Boc-protected piperazine (V) produced the desired (S,S)-alpha-methylbenzyl piperazine (VI) as the major isomer. Separation from minor amounts of the (R,S)-diastereomer was effected by flash chromatography. After acid cleavage of the Boc protecting group of (VI), the resultant piperazine (VII) was subjected to a modified Strecker reaction with N-Boc-piperidone (VIII) and diethylaluminum cyanide, yielding amino nitrile (IX). A methyl group was then introduced at the 4-position of the piperidine (IX) by displacement of the cyano group with methylmagnesium bromide to yield (X). Subsequent acidic Boc group cleavage in (X) gave piperidine (XI). This was finally coupled with 2,4-dimethylnicotinic acid N-oxide (XII) to furnish the title compound.

合成路线图解说明:

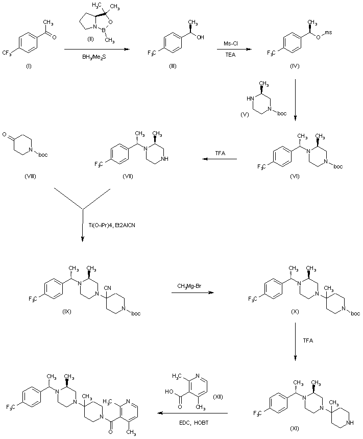
The enantioselective reduction of 4-(trifluoromethyl)acetophenone (I) with BH3/Me2S in the presence of the chiral borane (II) gives the (R) alcohol (III), which is treated with MsCl and TEA to yield the corresponding mesylate (IV). The displacement of the Ms group of (V) by means of the 1-Boc-3(S)-methylpiperazine (V) produced the protected (S,S)-alpha-methylbenzyl piperazine (VI) as the major isomer, which is purified by flash chromatography. After cleavage of the Boc group of (VI) with TFA in dichloromethane, the resulting piperazine (VII) is subjected to a modified Strecker reaction with 1-Boc-piperidin-4-one (VIII) and diethylaluminum cyanide to yield the aminonitrile (IX). A methyl group is then introduced by displacement of the cyano group of (IX) by means of MeMgBr to afford the protected 4-methylpiperidine derivative (X). Subsequent acidic Boc group cleavage in (X) with TFA provides the piperidine (XI), which is finally condensed with 2,4-dimethylpyridine-3-carboxylic acid (XII) by means of EDC and HOBT to furnish the target amide (1-3).

合成路线图解说明:

The reaction of 4-(trifluoromethyl)styrene (I) with mCPBA in dichloromethane gives the epoxide (II), which is treated with MeONa in methanol to yield the benzyl alcohol (III). The reaction of (III) with MsCl and TEA affords the mesylate (IV), which is condensed with the monoprotected piperazine (V) in refluxing acetonitrile to provide a diastereomeric mixture of compounds (VI) + (VII) that is resolved by flash chromatography. The desired isomer (VII) is deprotected by means of HCl or TFA to give piperazine (VIII), which is condensed with N-Boc-4-piperidone (IX) with simultaneous alkylation by means of Ti(OiPr)4 and Et2Al-CN in refluxing dichloromethane to yield the intermediate (X). The reaction of (X) with MeMgBr in THF affords the methylated compound (XI), which is deprotected by means of TFA to provide the substituted piperidine derivative (XII). Finally, this compound is acylated by means of 4,6-dimethylpyrimidine-5-carbonyl chloride (XIII) and aqueous NaOH in dichloromethane to provide the target compound. (1-3)

参考文献No.65370
标题:Synthesis of piperidine and piperazine cpds. as CCR5 antagonists
作者:Gala, D.; Leong, W.; Jones, A.D.; Shi, X.; Chen, M.; D'sa, B.A.; Zhu, M.; Xiao, T.; Tang, S.; Goodman, A.J.; Nielsen, C.M.; Lee, G.M.; Gamboa, J.A. (Schering Corp.)
来源:WO 0384950
合成路线图解说明:

The reaction of the chiral benzyl alcohol (I) with 4-chlorobenzenesulfonyl chloride (II) and DABCO in toluene gives the sulfonate (III), which is condensed with the monoprotected piperazine (IV) by means of K2CO3 in hot toluene/acetonitrile to yield the adduct (V). The deprotection of (V) by means of hot aqueous HCl affords the piperazine derivative (VI), which is condensed with the acyl piperidine (VII) --obtained by condensation of 4,6-dimethylpyrimidine-5-carboxylic acid (VIII) with 4-piperidone (IX) --by means of acetone cyanohydrin or NaCN/AcOH to provide the cyano adduct (X). Finally, this compound is treated with AlMe3 and Me-MgCl in THF/toluene to yield the target compound.

参考文献No.65621
标题:Piperazine derivs. useful as CCR5 antagonists
作者:Neustadt, B.R.; Smith, E.M.; McKittrick, B.A.; McCombie, S.W.; Tagat, J.R.; Clader, J.W.; Vice, S.F.; Laughlin, M.A.; Baroudy, B.M.; Josien, H.B.; Miller, M.W.; Palani, A.; Steensma, R.; Gilbert, E.; Labroli, M.A. (Schering Corp.)
来源:US 2003069252; US 6689765
合成路线图解说明:

The reaction of 4-(trifluoromethyl)styrene (I) with mCPBA in dichloromethane gives the epoxide (II), which is treated with MeONa in methanol to yield the benzyl alcohol (III). The reaction of (III) with MsCl and TEA affords the mesylate (IV), which is condensed with the monoprotected piperazine (V) in refluxing acetonitrile to provide a diastereomeric mixture of compounds (VI) + (VII) that is resolved by flash chromatography. The desired isomer (VII) is deprotected by means of HCl or TFA to give piperazine (VIII), which is condensed with N-Boc-4-piperidone (IX) with simultaneous alkylation by means of Ti(OiPr)4 and Et2Al-CN in refluxing dichloromethane to yield the intermediate (X). The reaction of (X) with MeMgBr in THF affords the methylated compound (XI), which is deprotected by means of TFA to provide the substituted piperidine derivative (XII). Finally, this compound is acylated by means of 4,6-dimethylpyrimidine-5-carbonyl chloride (XIII) and aqueous NaOH in dichloromethane to provide the target compound. (1-3)

Drug Information Express,Drug R&D,Chemical Database,Patent Search.
Copyright © 2006-2026 Drug Future. All rights reserved.Contact Us