【药物名称】A78277, DPC-A78277
化学结构式(Chemical Structure):
参考文献No.48906
标题:Tricyclic cpds. useful as HIV reverse transcriptase inhibitors
作者:Patel, M.; Rodgers, J.D.; Wang, H.; Johnson, B.L. (Bristol-Myers Squibb Co.)
来源:JP 2003512375; US 6593337; WO 0129037
合成路线图解说明:

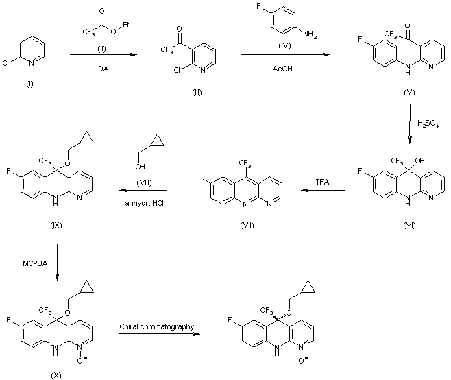
The condensation of 2-chloropyridine (I) with ethyl trifluoroacetate (II) by means of LDA in THF gives 2-chloro-3-(trifluoroacetyl)pyridine (III), which is condensed with 4-fluoroaniline (IV) by means of refluxing aqueous acetic acid to yield the diarylamine (V). The cyclization of (V) by means of concentrated H2SO4 affords 7-fluoro-5-hydroxy-5-(trifluoromethyl)-5,10-dihydro-benzo[b]-1,8-naphthyridine (VI), which is dehydrated in THF to give 7-fluoro-5-(trifluoromethyl)benzo[b]-1,8-naphthyridine (VII). The condensation of (VII) with cyclopropylmethanol (VIII) by means of anhydrous HCl in dichloromethane yields the 5-(cyclopropylmethoxy)-7-fluoro-5-(trifluoromethyl)-5,10-dihydro-benzo[b]-1,8-naphthyridine (IX), which is oxidated by means of MCPBA in dichloromethane to afford the N-oxide (X) (1, 2). Finally, this racemic compound is submitted to chiral HPLC to obtain the target enantiomer (1).

参考文献No.762519
标题:Novel 5,10-dihydrobenzo[B][1,8]napthyridine N-oxides as non-nucleoside reverse transcriptase inhibitors of HIV-1 with high potency against clinically relevant mutants variants
作者:Johnson, B.L.; Tarby, C.M.; Srivastava, A.; Bakthavatchalam, R.; Lin, Q.; Cocuzza, A.J.; Bilder, D.M.; Bacheler, L.T.; Diamond, S.; Jeffrey, S.; Klabe, R.M.; Cordova, B.C.; Garber, S.; Logue, K.; Erickson-Viitanen, S.K.; Trainor, G.L.; et al.
来源:226th ACS Natl Meet (Sept 7 2003, New York) 2003,Abst MEDI 129
合成路线图解说明:

The condensation of 2-chloropyridine (I) with ethyl trifluoroacetate (II) by means of LDA in THF gives 2-chloro-3-(trifluoroacetyl)pyridine (III), which is condensed with 4-fluoroaniline (IV) by means of refluxing aqueous acetic acid to yield the diarylamine (V). The cyclization of (V) by means of concentrated H2SO4 affords 7-fluoro-5-hydroxy-5-(trifluoromethyl)-5,10-dihydro-benzo[b]-1,8-naphthyridine (VI), which is dehydrated in THF to give 7-fluoro-5-(trifluoromethyl)benzo[b]-1,8-naphthyridine (VII). The condensation of (VII) with cyclopropylmethanol (VIII) by means of anhydrous HCl in dichloromethane yields the 5-(cyclopropylmethoxy)-7-fluoro-5-(trifluoromethyl)-5,10-dihydro-benzo[b]-1,8-naphthyridine (IX), which is oxidated by means of MCPBA in dichloromethane to afford the N-oxide (X) (1, 2). Finally, this racemic compound is submitted to chiral HPLC to obtain the target enantiomer (1).

Drug Information Express,Drug R&D,Chemical Database,Patent Search.
Copyright © 2006-2026 Drug Future. All rights reserved.Contact Us