【药物名称】
化学结构式(Chemical Structure):
参考文献No.65564
标题:New mixed derivs. of benzimidazole-arylpiperazine with affinity for the serotoninergic receptors 5-HT1A and 5-HT3
作者:Morcillo Ortega, M.J.; Benhamu Salama, B.; L髉ez Rodr韌uez, M.L.; Ramos Atance, J.A.; Tejada Cazorla, I.D. (Universidad Complutense de Madrid)
来源:ES 2154605
合成路线图解说明:

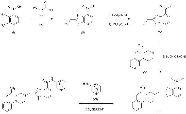
2,3-Diaminobenzoic acid (I) is condensed with glycolic acid (II) under acidic conditions to produce 2-(hydroxymethyl)benzimidazole-4-carboxylic acid (III). Chlorination of (III) with SOCl2, followed by acidic hydrolysis of the acid chloride group leads to the chloromethyl benzimidazole (IV). Condensation of chloride (IV) with 1-(2-ethoxyphenyl)piperazine (V) furnishes the disubstituted piperazine (VI). Acid (VI) is finally coupled to 3-aminoquinuclidine (VII) via activation with CDI to produce the title amide. (1-3)

参考文献No.708202
标题:Organic phenyl arsonic acid compounds with potent antileukemic activity
作者:Liu, X.-P.; Narla, R.K.; Uckun, F.M.
来源:Bioorg Med Chem Lett 2003,13(3),581
合成路线图解说明:

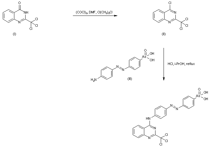
2-(Trichloromethyl)quinazolin-4-one (I) is chlorinated with oxalyl chloride in the presence of DMF producing 4-chloro-2-(trichloromethyl)quinazoline (II). Subsequent coupling of chloroquinazoline (II) with 4-(4'-aminophenylazo)phenylarsonic acid (III) in refluxing isopropanol furnishes the title compound. (1,2)

合成路线图解说明:

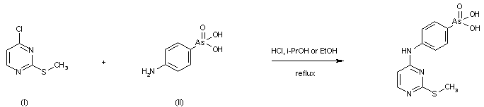
The title compound is prepared by condensation between 4-chloro-2-(methylthio)pyrimidine (I) and p-arsanilic acid (II) in refluxing alcohol.

合成路线图解说明:

2,3-Diaminobenzoic acid (I) is condensed with glycolic acid (II) under acidic conditions to produce 2-(hydroxymethyl)benzimidazole-4-carboxylic acid (III). Chlorination of (III) with SOCl2, followed by acidic hydrolysis of the acid chloride group leads to the chloromethyl benzimidazole (IV). Condensation of chloride (IV) with 1-(2-ethoxyphenyl)piperazine (V) furnishes the disubstituted piperazine (VI). Acid (VI) is finally coupled to 3-aminoquinuclidine (VII) via activation with CDI to produce the title amide. (1-3)

参考文献No.761542
标题:Design and synthesis of new benzimidazole-arylpiperazine derivatives acting as mixed 5-HT1A/5-HT3 ligands
作者:L髉ez-Rodr韌uez, M.L.; Benham? B.; Morcillo, M.J.; Tejada, I.; Avila, D.; Marco, I.; Schiapparelli, L.; Frechilla, D.; del Rio, J.
来源:Bioorg Med Chem Lett 2003,13(19),3177
合成路线图解说明:

2,3-Diaminobenzoic acid (I) is condensed with glycolic acid (II) under acidic conditions to produce 2-(hydroxymethyl)benzimidazole-4-carboxylic acid (III). Chlorination of (III) with SOCl2, followed by acidic hydrolysis of the acid chloride group leads to the chloromethyl benzimidazole (IV). Condensation of chloride (IV) with 1-(2-ethoxyphenyl)piperazine (V) furnishes the disubstituted piperazine (VI). Acid (VI) is finally coupled to 3-aminoquinuclidine (VII) via activation with CDI to produce the title amide. (1-3)

Drug Information Express,Drug R&D,Chemical Database,Patent Search.
Copyright © 2006-2026 Drug Future. All rights reserved.Contact Us