【药物名称】ITB
化学结构式(Chemical Structure):
参考文献No.763623
标题:Solid-phase synthesis of bis(guanidines) based on an aza Wittig/carbodiimide-mediated annulation process
作者:L髉ez-Cremades, P.; Molina, P.; Aller, E.; Lorenzo, A.
来源:Synlett 2000,(10),1411
合成路线图解说明:

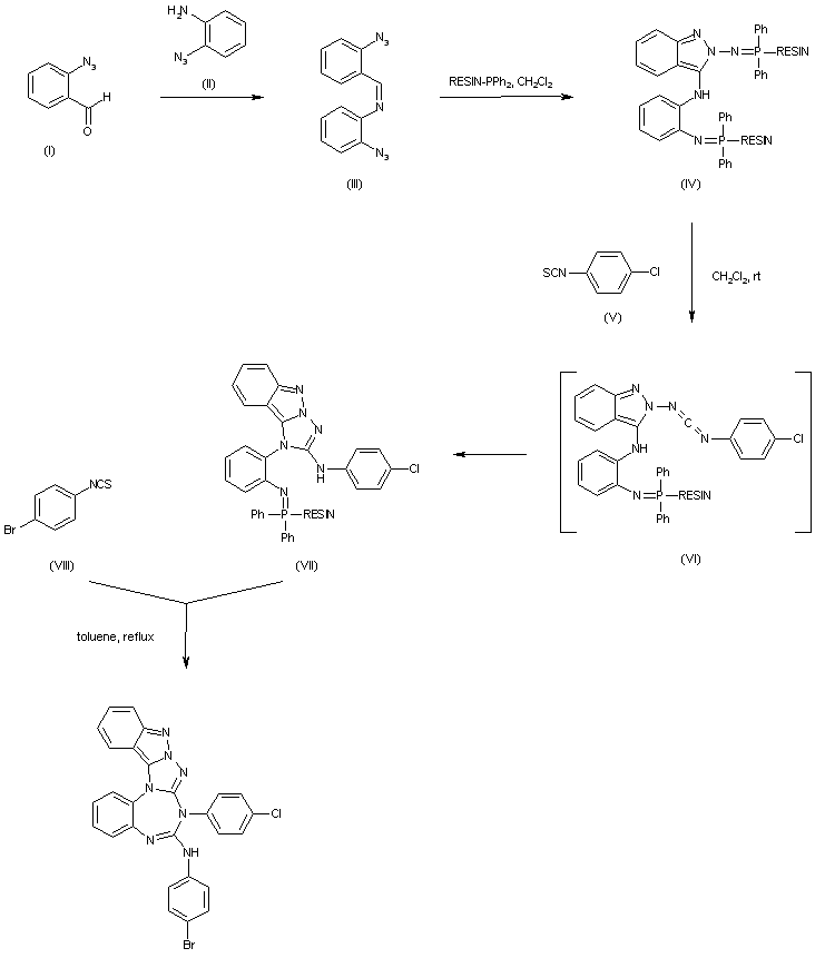
The condensation between 2-azidobenzaldehyde (I) and 2-azidoaniline (II) produces the bis-azido imine (III), which upon coupling to polymer bound triphenylphosphine gives rise to the indazole derivative (IV). Aza-Wittig condensation of (IV) with 4-chlorophenyl isothiocyanate (V) generates the intermediate carbodiimide (VI) which spontaneously cyclizes to the triazoloindazole (VII). Subsequent condensation of (VII) with 4-bromophenyl isothiocyanate (VIII) furnishes the target pentacyclic compound.

Drug Information Express,Drug R&D,Chemical Database,Patent Search.
Copyright © 2006-2026 Drug Future. All rights reserved.Contact Us