【药物名称】BPDZ-176
化学结构式(Chemical Structure):
参考文献No.35374
标题:1,2,4-Benzothiadiazine derivs. their preparation and use
作者:Pirotte, B.; Lebrun, P.; De Tullio, P.; Somers, F.; Delarge, J.; Hansen, J.B.; Nielsen, F.E.; Hansen, H.C.; Mogensen, J.P.; Tagmose, T.M. (Novo Nordisk A/S)
来源:EP 0906297; JP 2000512641; US 6242443; WO 9749692
合成路线图解说明:

The target thiadiazine dioxide has been obtained by reaction of 7-methoxy--3-(methylsulfanyl)-4H-1,2,4-benzothiadiazine-1,1-dioxide (I) or 3-(1-imidazolyl)-7-methoxy-4H-1,2,4-benzothiadiazine-1,1-dioxide (II) with isopropylamine (III) at 120-150 C in a pressure vessel.

合成路线图解说明:

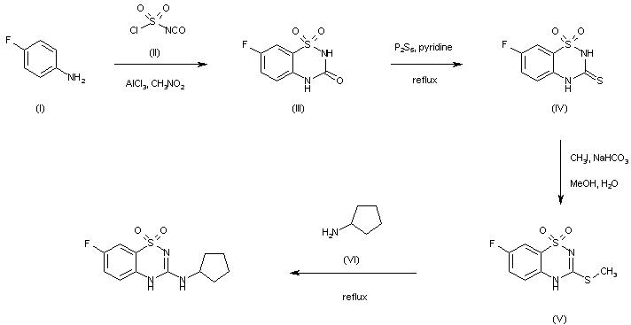
Reaction of 4-fluoroaniline (I) with chlorosulfonyl isocyanate (II) in the presence of aluminum trichloride gives rise to the benzothiadiazine dioxide (III). After conversion of the 3-oxo compound (III) into the corresponding thioxo derivative (IV) by means of phosphorus pentasulfide in pyridine, methylation with iodomethane and NaHCO3 affords the 3-methylsulfanyl benzothiadiazine (V) (1). Finally, the methylsulfanyl group in (V) is displaced by cyclopentylamine (VI) to furnish the target compound (1,2).

参考文献No.744689
标题:Toward tissue-selective pancreatic B-cells KATP channel openers belonging to 3-alkylamino-7-halo-4H-1,2,4-benzothiadiazine 1,1-dioxides
作者:De Tullio, P.; Becker, B.; Boverie, S.; Dabrowski, M.; Wahl, P.; Antoine, M.-H.; Somers, F.; Sebille, S.; Ouedraogo, R.; Hansen, J.B.; Lebrun, P.; Pirotte, B.
来源:J Med Chem 2003,46(15),3342
合成路线图解说明:

Reaction of 4-fluoroaniline (I) with chlorosulfonyl isocyanate (II) in the presence of aluminum trichloride gives rise to the benzothiadiazine dioxide (III). After conversion of the 3-oxo compound (III) into the corresponding thioxo derivative (IV) by means of phosphorus pentasulfide in pyridine, methylation with iodomethane and NaHCO3 affords the 3-methylsulfanyl benzothiadiazine (V) (1). Finally, the methylsulfanyl group in (V) is displaced by cyclopentylamine (VI) to furnish the target compound (1,2).

Drug Information Express,Drug R&D,Chemical Database,Patent Search.
Copyright © 2006-2026 Drug Future. All rights reserved.Contact Us