【药物名称】NE-2001
化学结构式(Chemical Structure):
参考文献No.63824
标题:Methods and compsns. for treating or preventing bacterial infection
作者:Muramatsu, M.; Xie, J.; Zhu, D.; Wang, M.; Cheng, N. (Nanjing University; Shanghai East Best Biopharmaceutical Enterprises Co., Ltd.)
来源:US 2003125384; US 6734212; WO 0329201
合成路线图解说明:

O-Methyl isourea disulfate (I) is condensed with 4-aminomethylbenzoic acid (II) in 2 N NaOH solution to produce the corresponding guanidine, which is isolated as the hydrochloride salt (III). (1,2)

合成路线图解说明:

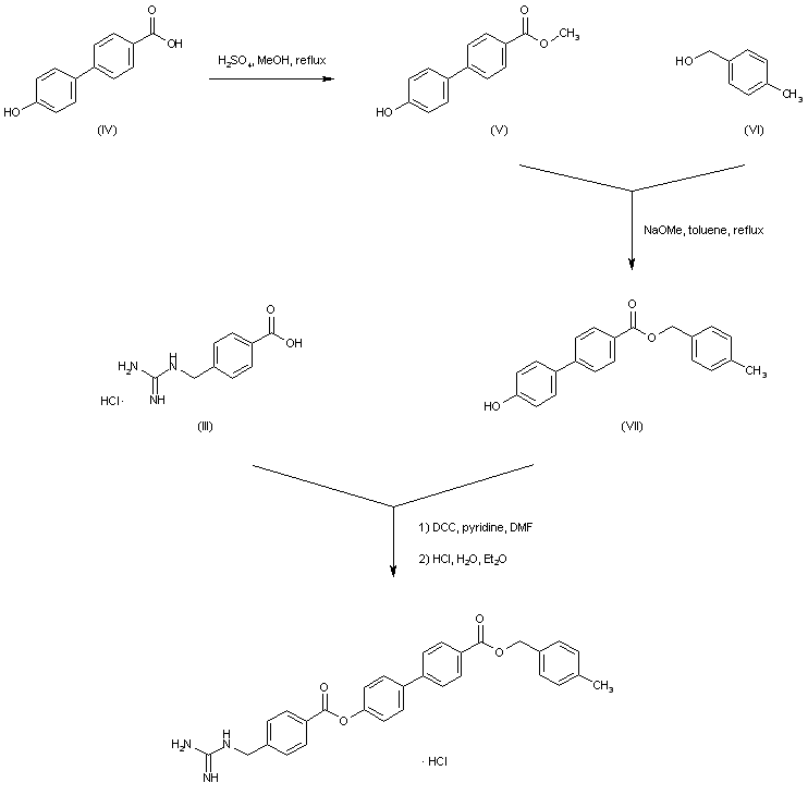
Esterification of 4'-hydroxybiphenyl-4-carboxylic acid (IV) with MeOH in the presence of H2SO4 produces the methyl ester (V), which is further transesterified with 4-methylbenzyl alcohol (VI) under basic conditions to generate the corresponding methylbenzyl ester (VII). Phenol (VII) is finally coupled with 4-(guanidinomethyl)benzoic acid (III) by means of DCC/pyridine to yield the target guanidino diester. (1,2)

参考文献No.745507
标题:A specific anti-Helicobacter pylori agent NE2001: Synthesis and its effect on the growth of H. pylori
作者:Cheng, N.; Xie, J.-S.; Zhang, M.-Y.; Shu, C.; Zhu, D.-X.
来源:Bioorg Med Chem Lett 2003,13(16),2703
合成路线图解说明:

O-Methyl isourea disulfate (I) is condensed with 4-aminomethylbenzoic acid (II) in 2 N NaOH solution to produce the corresponding guanidine, which is isolated as the hydrochloride salt (III). (1,2)

合成路线图解说明:

Esterification of 4'-hydroxybiphenyl-4-carboxylic acid (IV) with MeOH in the presence of H2SO4 produces the methyl ester (V), which is further transesterified with 4-methylbenzyl alcohol (VI) under basic conditions to generate the corresponding methylbenzyl ester (VII). Phenol (VII) is finally coupled with 4-(guanidinomethyl)benzoic acid (III) by means of DCC/pyridine to yield the target guanidino diester. (1,2)

Drug Information Express,Drug R&D,Chemical Database,Patent Search.
Copyright © 2006-2026 Drug Future. All rights reserved.Contact Us