【药物名称】TZE-5323
化学结构式(Chemical Structure):
参考文献No.21103
标题:Novel benzothiophene deriv.
作者:Koizumi, N.; Takegawa, S.; Iwashita, S.; Saito, T. (Teikoku Hormone Manufacturing Co., Ltd.)
来源:EP 0641791; US 5472962; WO 9310113
合成路线图解说明:

Lithiation of 6-methoxybenzothiophene (I), followed by condensation with cyclohexanone (II) provides the hydroxycyclohexyl benzothiophene (III), which is further dehydrated to the cyclohexenyl analogue (IV) under acidic conditions (1). In a related procedure, the cyclohexenyl benzothiophene (IV) is prepared by condensation of the lithiated derivative of (I) with cyclohexenyl triflate (V) in the presence of ZnCl2 and Pd(PPh3)4 (2). Catalytic hydrogenation of olefin (IV) over Pd/C leads to the cyclohexyl benzothiophene (VI) (1,2). Subsequent Friedel-Crafts acylation of (VI) with 4-(2-chloroethoxy)benzoyl chloride (VII) yields ketone (VIII) (1). Displacement of the chloride group in (VIII) with piperidine furnishes the piperidinyl ethoxy derivative (IX). The methyl ether (IX) is finally cleaved by treatment with AlCl3 and EtSH to produce the target phenol derivative (1,3-5).

参考文献No.26861
标题:Methods for inhibiting bone loss
作者:Bryant, H.U.; Grese, T.A. (Eli Lilly and Company)
来源:EP 0651998; JP 1995188012; US 5441964
合成路线图解说明:

Lithiation of 6-methoxybenzothiophene (I), followed by condensation with cyclohexanone (II) provides the hydroxycyclohexyl benzothiophene (III), which is further dehydrated to the cyclohexenyl analogue (IV) under acidic conditions (1). In a related procedure, the cyclohexenyl benzothiophene (IV) is prepared by condensation of the lithiated derivative of (I) with cyclohexenyl triflate (V) in the presence of ZnCl2 and Pd(PPh3)4 (2). Catalytic hydrogenation of olefin (IV) over Pd/C leads to the cyclohexyl benzothiophene (VI) (1,2). Subsequent Friedel-Crafts acylation of (VI) with 4-(2-chloroethoxy)benzoyl chloride (VII) yields ketone (VIII) (1). Displacement of the chloride group in (VIII) with piperidine furnishes the piperidinyl ethoxy derivative (IX). The methyl ether (IX) is finally cleaved by treatment with AlCl3 and EtSH to produce the target phenol derivative (1,3-5).

参考文献No.26897
标题:Benzothiophenes and related cpds. as estrogen agonists
作者:Cameron, K.O.; Da Silva-Jardine, P.; Larson, E.R.; Hauske, J.R.; Rosati, R.L. (Pfizer Inc.)
来源:EP 0723537; JP 1996511273; WO 9510513
合成路线图解说明:

Lithiation of 6-methoxybenzothiophene (I), followed by condensation with cyclohexanone (II) provides the hydroxycyclohexyl benzothiophene (III), which is further dehydrated to the cyclohexenyl analogue (IV) under acidic conditions (1). In a related procedure, the cyclohexenyl benzothiophene (IV) is prepared by condensation of the lithiated derivative of (I) with cyclohexenyl triflate (V) in the presence of ZnCl2 and Pd(PPh3)4 (2). Catalytic hydrogenation of olefin (IV) over Pd/C leads to the cyclohexyl benzothiophene (VI) (1,2). Subsequent Friedel-Crafts acylation of (VI) with 4-(2-chloroethoxy)benzoyl chloride (VII) yields ketone (VIII) (1). Displacement of the chloride group in (VIII) with piperidine furnishes the piperidinyl ethoxy derivative (IX). The methyl ether (IX) is finally cleaved by treatment with AlCl3 and EtSH to produce the target phenol derivative (1,3-5).

参考文献No.63709
标题:Methods for lowering serum cholesterol
作者:Bryant, H.U.; Grese, T.A. (Eli Lilly and Company)
来源:EP 0657162; US 5482950
合成路线图解说明:

The condensation of 1-oxyl-2,2,6,6-tetramethyl-4-aminopiperidine (I) with 2-chloroethyl isocyanate (II) gives 1-(2-chloroethyl)-3-(1-oxyl-2,2,6,6-tetramethylpiperidinyl)urea (III). The nitrosation of (III) with dinitrogen tetraoxide in methylene chloride yields SLCNU.

合成路线图解说明:

The nitrosation of (IV) with dinitrogen tetraoxide in methylene chloride affords (V), which is condensed with (I) to yield SLCNU.

合成路线图解说明:

Lithiation of 6-methoxybenzothiophene (I), followed by condensation with cyclohexanone (II) provides the hydroxycyclohexyl benzothiophene (III), which is further dehydrated to the cyclohexenyl analogue (IV) under acidic conditions (1). In a related procedure, the cyclohexenyl benzothiophene (IV) is prepared by condensation of the lithiated derivative of (I) with cyclohexenyl triflate (V) in the presence of ZnCl2 and Pd(PPh3)4 (2). Catalytic hydrogenation of olefin (IV) over Pd/C leads to the cyclohexyl benzothiophene (VI) (1,2). Subsequent Friedel-Crafts acylation of (VI) with 4-(2-chloroethoxy)benzoyl chloride (VII) yields ketone (VIII) (1). Displacement of the chloride group in (VIII) with piperidine furnishes the piperidinyl ethoxy derivative (IX). The methyl ether (IX) is finally cleaved by treatment with AlCl3 and EtSH to produce the target phenol derivative (1,3-5).

参考文献No.63710
标题:Methods for inhibiting uterine fibrosis
作者:Bryant, H.U.; Grese, T.A. (Eli Lilly and Company)
来源:EP 0650724; JP 1995188011; US 5480904
合成路线图解说明:

Lithiation of 6-methoxybenzothiophene (I), followed by condensation with cyclohexanone (II) provides the hydroxycyclohexyl benzothiophene (III), which is further dehydrated to the cyclohexenyl analogue (IV) under acidic conditions (1). In a related procedure, the cyclohexenyl benzothiophene (IV) is prepared by condensation of the lithiated derivative of (I) with cyclohexenyl triflate (V) in the presence of ZnCl2 and Pd(PPh3)4 (2). Catalytic hydrogenation of olefin (IV) over Pd/C leads to the cyclohexyl benzothiophene (VI) (1,2). Subsequent Friedel-Crafts acylation of (VI) with 4-(2-chloroethoxy)benzoyl chloride (VII) yields ketone (VIII) (1). Displacement of the chloride group in (VIII) with piperidine furnishes the piperidinyl ethoxy derivative (IX). The methyl ether (IX) is finally cleaved by treatment with AlCl3 and EtSH to produce the target phenol derivative (1,3-5).

参考文献No.744969
标题:Structure-activity relationships of selective estrogen receptor modulators: Modifications to the 2-arylbenzothiophene core of raloxifene
作者:Grese, T.A.; Cho, S.; Finley, D.R.; Godfrey, A.G.; Jones, C.D.; Lugar, C.W. III; Martin, M.J.; Matsumoto, K.; Pennington, L.D.; Winter, M.A.; Adrian, M.D.; Cole, H.W.; Magee, D.E.; Phillips, D.L.; Rowley, E.R.; Short, L.L.; Glasebrook, A.L.; Bryant, H.U.
来源:J Med Chem 1997,40(2),146
合成路线图解说明:

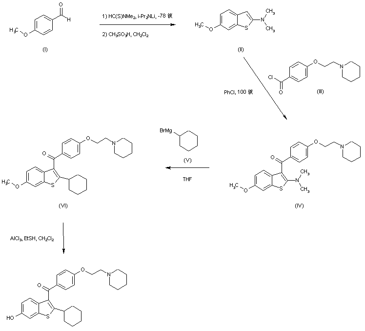
In an alternative procedure, condensation of 4-methoxybenzaldehyde (I) with N,N-dimethyl thioformamide in the presence of LDA, followed by treatment with methanesulfonic acid leads to 6-methoxy-2-(dimethylamino)benzothiophene (II), which is subsequently acylated with 4-[2-(-1piperidino)ethoxy]benzoyl chloride (III) in hot chlorobenzene to provide the 3-benzoyl benzothiophene (IV) (6). The dimethylamino group in (IV) is displaced with cyclohexylmagnesium bromide (V) yielding (VI). Finally, methyl ether (VI) cleavage by means of AlCl3 and EtSH gives rise to the title compound (6,7).

参考文献No.744970
标题:Synthesis and pharmacology of 2-alkyl raloxifene analogs
作者:Grese, T.A.; Cho, S.; Bryant, H.U.; Cole, H.W.; Glasebrook, A.L.; Magee, D.E.; Phillips, D.L.; Rowley, E.R.; Short, L.L.
来源:Bioorg Med Chem Lett 1996,6(2),201
合成路线图解说明:

In an alternative procedure, condensation of 4-methoxybenzaldehyde (I) with N,N-dimethyl thioformamide in the presence of LDA, followed by treatment with methanesulfonic acid leads to 6-methoxy-2-(dimethylamino)benzothiophene (II), which is subsequently acylated with 4-[2-(-1piperidino)ethoxy]benzoyl chloride (III) in hot chlorobenzene to provide the 3-benzoyl benzothiophene (IV) (6). The dimethylamino group in (IV) is displaced with cyclohexylmagnesium bromide (V) yielding (VI). Finally, methyl ether (VI) cleavage by means of AlCl3 and EtSH gives rise to the title compound (6,7).

Drug Information Express,Drug R&D,Chemical Database,Patent Search.
Copyright © 2006-2026 Drug Future. All rights reserved.Contact Us