【药物名称】
化学结构式(Chemical Structure):
参考文献No.744023
标题:Synthesis and pharmacological characterization of a new benzoxazole derivative as a potent 5-HT3 receptor agonist
作者:L髉ez-Tudanca, P.; Labeaga, L.; Inner醨ity, A.; Alonso-Cires, L.; Tapia, I.; Mosquera, R.; Orjales, A.
来源:Bioorg Med Chem 2003,11(13),2709
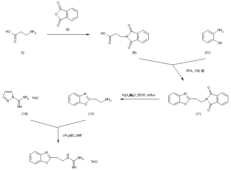
合成路线图解说明:

Treatment of beta-alanine (I) with phthalic anhydride (II) in refluxing toluene provides phthalimidopropionic acid (III), which upon cyclocondensation with 2-aminophenol (IV) in hot polyphosphoric acid provides the benzoxazole derivative (V). Hydrazinolysis of phthalimide (V) affords the primary amine (VI), which is finally condensed with pyrazole-1-carboxamidine hydrochloride (VII) in DMF to produce the target guanidine compound.

Drug Information Express,Drug R&D,Chemical Database,Patent Search.
Copyright © 2006-2026 Drug Future. All rights reserved.Contact Us