【药物名称】
化学结构式(Chemical Structure):
参考文献No.742100
标题:N1-(Substituted) pantothenamides, antimetabolites of pantothenic acid
作者:Clifton, G.; Bryant, S.R.; Skinner, C.G.
来源:Arch Biochem Biophys 1970,137(2),523
合成路线图解说明:

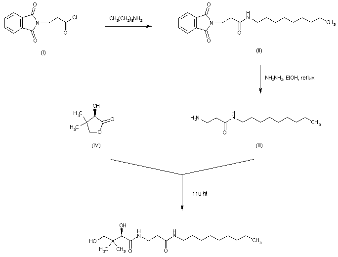
3-Phthalimidopropionyl chloride (I) is condensed with n-nonylamine to produce the corresponding amide (II). Subsequent hydrazinolysis of phthalimide (II) furnishes the aminopropanamide (III), which is condensed with D-pantonolactone (IV) to yield the desired compound.

Drug Information Express,Drug R&D,Chemical Database,Patent Search.
Copyright © 2006-2026 Drug Future. All rights reserved.Contact Us