【药物名称】Dysinosin A
化学结构式(Chemical Structure):
参考文献No.739514
标题:Total synthesis and structural confirmation of the marine natural product Dysinosin A: A novel inhibitor of thrombin and Factor VIIa
作者:Hanessian, S.; Margarita, R.; Hall, A.; Johnstone, S.; Tremblay, M.; Parlanti, L.
来源:J Am Chem Soc 2002,124(45),13342
合成路线图解说明:

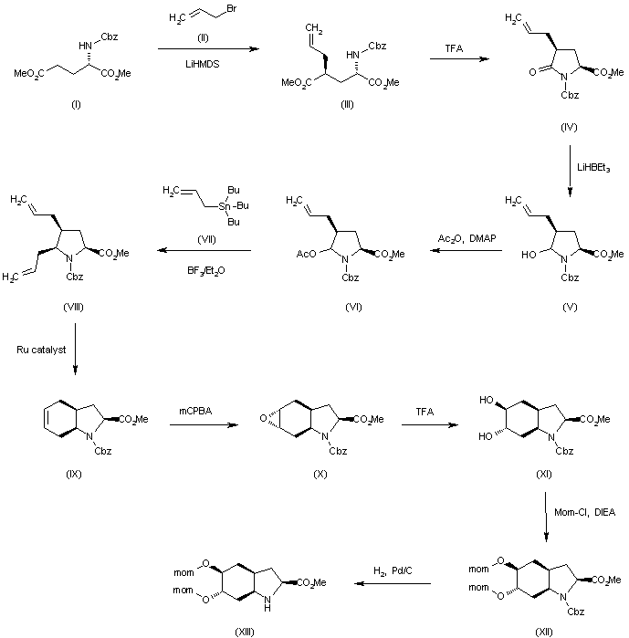
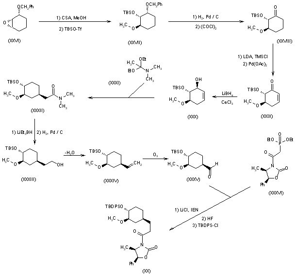
Synthesis of the perhydroindole intermediate (XIII): The alkylation of the N-protected glutamate (I) with allyl bromide (II) by means of LiHMDS in THF gives the protected chiral allyl glutamate (III) (1), which is cyclized by means of TFA in dichloromethane to yield the pyroglutamate (IV). The reduction of (IV) with LiHBEt3 in THF affords the hydroxy compound (V), which is treated with Ac2O and DMAP in dichloromethane to provide the expected hemiaminal derivative (VI). The reaction of (VI) with allyl tributylstannane (VII) by means of BF3/Et2O in toluene gives the diallyl pyrrolidine (VIII), which is submitted to a ring closure by olefin metathesis using a Grubbs Ru catalyst in dichloromethane to yield the hexahydroindole derivative (IX). The reaction of (IX) with mCPBA in dichloromethane affords the epoxide (X), which is hydrolyzed with TFA to yield the dihydroxy compound (XI). The reaction of (XI) with Mom-Cl and DIEA in dichloromethane provides the bis mom ether (XII), which is treated with H2 over Pd/C in methanol to yield the desired perhydroindole intermediate (XIII) (2).

合成路线图解说明:

Synthesis of the 3-pyrroline intermediate (XXVI): The reaction of 4-hydroxy-2-methylenebutyric acid methyl ester (XIV) with Tbdps-Cl and imidazole in DMF gives the silyl ether (XV), which is reduced with DIBAL in dichloromethane to yield the butanol derivative (XVI). The reaction of (XVI) with MsCl and TEA affords the corresponding mesylate (XVII), which is condensed with allylamine (XVIII) to provide the secondary amine (XIX). The protection of the NH group of (XIX) by reaction with Boc2O and TEA gives the carbamate (XX), which is submitted to a ring closing metathesis reaction using a Grubbs Ru catalyst to yield the 3-pyrroline derivative (XXI). The cleavage of the silyl ether group of (XXI) by means of TBAF in THF affords the pyrroline ethanol derivative (XXII), which is treated with PPh3, DEAD and (PhO)2P(O)N3 in THF to provide the azido derivative (XXIII). The deprotection of the NH group of (XXIII) by means of TFA in dichloromethane gives the 3-(2-azidoethyl)-3-pyrroline (XXIV), which is treated with Goodman's reagent to yield the protected amidino derivative (XXV). Finally, the azido group of (XXV) is reduced by means of PPh3, water and AcOH to afford the desired 3-pyrroline-1-carboxamidine (XXVI).

合成路线图解说明:

Synthesis of dysinosin A: The reaction of the commercially available D-mannitol derivative (XXVII) with NaH and MeI in DMF gives the dimethoxy compound (XXVIII), which is hydrogenated with H2 over Pd/C in EtOH/EtOAc to yield the dimethoxy-D-mannitol (XXIX). The selective silylation of the primary OH groups of (XXIX) with Tbdps-Cl and imidazole affords the bis silyl ether (XXX), which is submitted to an oxidative cleavage of its vicinal diol group by means of Pb(OAc)4 to provide 2(R)-methoxy-3-(Tbdps-O)propanal (XXXI) (3). The oxidation of (XXXI) with NaClO2 gives the corresponding carboxylic acid (XXXII), which is condensed with D-leucine benzyl ester (XXXIII) by means of EDC and HOBt in dichloromethane to yield adduct (XXXIV). The reductive cleavage of the benzyl group of (XXXIV) with H2 over Pd/C in methanol affords the substituted leucine (XXXV), which is condensed with the perhydroindole intermediate (XIII) by means of Bop-Cl and DIEA in acetonitrile to provide the amide (XXXVI). The hydrolysis of the methyl ester group of (XXXVI) with LiOH in THF/MeOH gives the carboxylic acid (XXXVII), which is condensed with the aminoethyl-3-pyrroline intermediate (XXVI) by means of EDC and HOBt in dichloromethane to yield the amide intermediate (XXXVIII). The cleavage of the silyl ether group of (XXXVIII) by means of TBAF in THF affords the primary alcohol (XXXIX), which is treated with Pyr/SO3 and Bu2SnO to provide the sulfate ester (XL). Finally, this compound is fully deprotected by means of TFA in dichloromethane and purified by means of preparative HPLC to obtain the target dysinosin A (2).

参考文献No.785620
标题:Total Synthesis of Rapamycin
作者:Nicolaou, K.C.; Piscopio, A.D.; Bertinato, P.; Chakraborty, T.K.; Minowa, N.; Koide, K.
来源:Chemistry (Weinheim) 1995,1(5),318
合成路线图解说明:

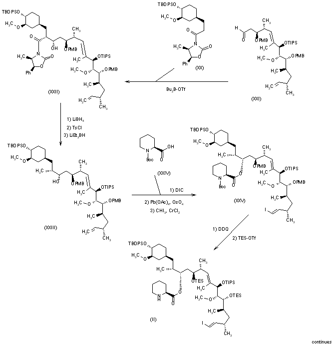
The total synthesis of rapamycin has been performed by initial condensation of two previously synthesized intermediates, the carboxylic acid (I) (scheme 17565203b) and the piperidine (II) (scheme 17565203c), by means of diisopropylcarbodiimide (DIC) and 1-hydroxybenzotriazole (HBT) in dichloromethane to the acylated piperidine (III). The two free hydroxyl groups of (III) are oxidized with oxalyl chloride in DMSO/dichloromethane to the triketone (IV), which is selectively deprotected with HF - pyridine in THF and oxidized again with oxalyl chloride to the hexacarbonyl compound (V). The full deprotection of (V) with HF in acetonitrile produces the simultaneous cyclization of the tetrahydropyran ring, yielding (VI), which is finally cyclized to rapamycin with the distannane (VII) by means of diisopropylethylamine (IEN) and palladium dichloride acetonitrile complex in DMF/THF. (1,2)

合成路线图解说明:

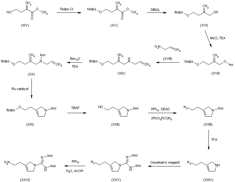
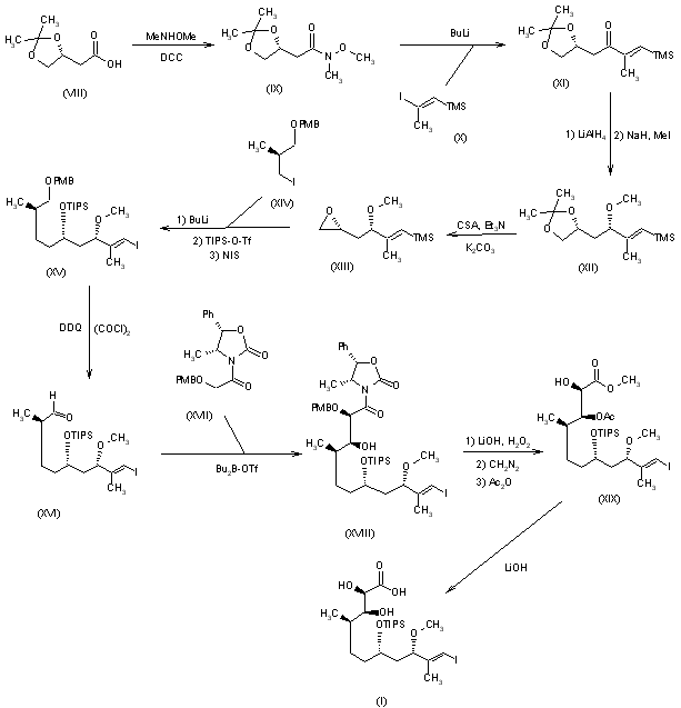
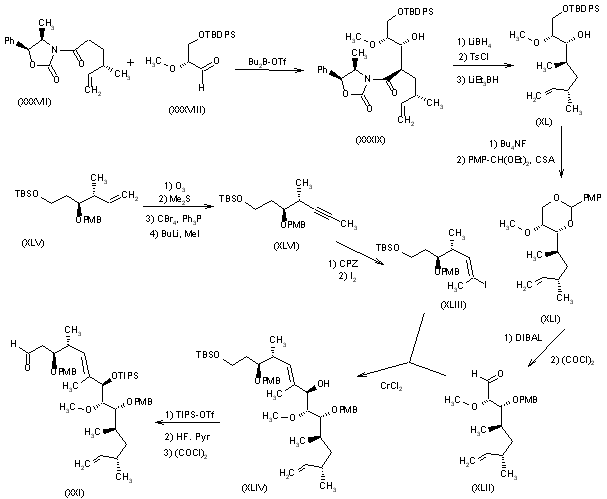
The intermediates (I) and (II) are synthesized as follows: Intermediate (I): The carboxylic acid (VIII) is condensed with N-methoxy-N-methylamine by means of dicyclohexylcarbodiimide (DCC) in dichloromethane to the amide (IX), which is treated with the vinyl iodide (X) and butyllithium in ethyl ether to yield the ketone (XI). The reduction of (XI) with LiAlH4 followed by methylation with MeI and NaH in DMF affords the methoxy compound (XII), which by treatment with camphorsulfonic acid (CSA), triethylamine and K2CO3 in methanol is converted to the epoxide (XIII). The condensation of (XIII) with the iodo ether (XIV) by means of butyllithium followed by silylation with triisopropylsilyl trifluoromethanesulfonate in dichloromethane and iodination with N-iodosuccinimide (NIS) in THF gives the protected triol (XV), which is selectively oxidized with 2,3-dichloro-5,6-dicyano-1,4-benzoquinone (DDQ) and oxalyl chloride in DMSO/dichloromethane, yielding the aldehyde (XVI). The condensation of (XVI) with the oxazolidinone (XVII) by means of tributylboron trifluoromethanesulfonate in toluene/dichloromethane affords compound (XVIII), which is treated with LiOH and H2O2 in THF/water. The resulting free acid is methylated with diazomethane, and the free hydroxyl group is acetylated with acetic anhydride to the acetoxy ester (XIX). Finally, (XIX) is hydrolyzed with LiOH in methanol/water to afford intermediate (I) (see A.D. Piscopio et al., J Chem Soc Chem Commun 1993, 7: 617). (1,2)

合成路线图解说明:

Intermediate (II): Compound (II) is obtained starting from two new previously synthesized intermediates, the oxazolidinone (XX) (scheme 17565203d) and the aldehyde (XXI) (scheme 17565203e), which are condensed by means of dibutylboron trifluoromethanesulfonate in dichloromethane to give compound (XXII), which is reduced first with LiBH4, tosylated with tosyl chloride and reduced again with lithium triethylborohydride in THF to yield compound (XXIII). The esterification of (XXIII) with the piperidine-2-carboxylic acid (XXIV) by means of DIC in dichloromethane followed by iodination of the terminal vinyl group by means of OsO4-catalyzed diol formation - Pb(OAc)4 cleavage, followed by CrCl2-mediated iodo-olefination with triiodomethane in THF/dioxane, affords the iodovinyl ester (XXV). Finally, (XXV) is debenzylated with DDQ in CHCl3 and silylated with triethylsilyl trifluoromethanesulfonate in dichloromethane to afford intermediate (II) (see K.C. Nicolau et al., J Chem Soc Chem Commun 1993, 7: 619). (1,2)

合成路线图解说明:

The new intermediates, the oxazolidinone (XX) and the aldehyde (XXI), are obtained as follows: Oxazolidinone (XX): The ring opening of cyclohexane epoxide (XXVI) with methanol and CSA followed by silylation with tert-butyldimethylsilyl trifluoromethanesulfonate in dichloromethane gives compound (XXVII), which is debenzylated by hydrogenolysis and oxidized with oxalyl chloride to the cyclohexanone (XXVIII). Dehydrogenation of (XXVIII) by treatment with lithium diiosopropylamide (LDA), tosyl chloride and palladium diacetate yields the cyclohexenone (XXIX), which is reduced with LiBH4 - CeCl3 in methanol/THF to the cyclohexenol (XXX). The condensation of (XXX) with dimethylacetamide diethylacetal (XXXI) in refluxing xylene affords the cyclohexylacetamide (XXXII), which is reduced with lithium triethylborohydride in THF and with H2 over Pd/C in ethanol to give the cyclohexylethanol (XXXIII). The dehydration of (XXXIII) through a selenium derivative yields the vinyl compound (XXXIV), which is oxidized with ozone to the aldehyde (XXXV). Finally, the condensation of (XXXV) with the phosphonate (XXXVI) by means of IEN and LiCl in acetonitrile followed by a desilylation with HF and silylation with tert-butyldiphenylsilyl chloride in DMF yields the oxazolidinone (XX) (see K.C. Nicolau et al., J Chem Soc Chem Commun 1993, 7: 619). (1,2)

合成路线图解说明:

Aldehyde (XXI): The condensation of oxazolidinone (XXXVII) with aldehyde (XXXVIII) by means of dibutylboron trifluoromethanesulfonate in dichloromethane gives compound (XXXIX), which is reduced with LiBH4, tosyl chloride and lithium triethylborohydride as before, yielding the alcohol (XL). The deprotection of (XL) with tetrabutylammonium fluoride in THF followed by formation of a dioxane ring with p-methoxybenzaldehyde diethyl acetal and CSA in dichloromethane affords compound (XLI), which is submitted to a reductive ring opening with diiosbutylaluminum hydride in dichloromethane, followed by an oxidation with oxalyl chloride in DMSO/dichloromethane, yielding the aldehyde (XLII). The condensation of (XLII) with the unsaturated iodo compound (XLIII) by means of CrCl2 in DMSO gives the hydroxy derivative (XLIV), which is finally silylated with triisopropylsilyl trifluoromethanesulfonate in dichloromethane, selectively desilylated with HF - pyridine and oxidized with oxalyl chloride in DMSO/dichloromethane to the intermediate aldehyde (XXI) (see K.C. Nicolau et al., J Chem Soc Chem Commun 1993, 7: 619). The intermediate (XLIII) is prepared by ozonolysis of the protected unsaturated diol (XLV), followed by reaction with dimethylsulfide and tetrabromomethane - triphenylphosphine to obtain an acetylenic intermediate, which is methylated with butyllithium and methyl iodide to the acetylene (XLVI). Finally, this compound is iodinated with iodine and (cyclopentadienyl)2ZrHCl in dichloromethane to the intermediate (XLIII) (see K.C. Nicolau et al., J Chem Soc Chem Commun 1993, 7: 619). (1,2)

合成路线图解说明:

Synthesis of dysinosin A: The reaction of the commercially available D-mannitol derivative (XXVII) with NaH and MeI in DMF gives the dimethoxy compound (XXVIII), which is hydrogenated with H2 over Pd/C in EtOH/EtOAc to yield the dimethoxy-D-mannitol (XXIX). The selective silylation of the primary OH groups of (XXIX) with Tbdps-Cl and imidazole affords the bis silyl ether (XXX), which is submitted to an oxidative cleavage of its vicinal diol group by means of Pb(OAc)4 to provide 2(R)-methoxy-3-(Tbdps-O)propanal (XXXI) (3). The oxidation of (XXXI) with NaClO2 gives the corresponding carboxylic acid (XXXII), which is condensed with D-leucine benzyl ester (XXXIII) by means of EDC and HOBt in dichloromethane to yield adduct (XXXIV). The reductive cleavage of the benzyl group of (XXXIV) with H2 over Pd/C in methanol affords the substituted leucine (XXXV), which is condensed with the perhydroindole intermediate (XIII) by means of Bop-Cl and DIEA in acetonitrile to provide the amide (XXXVI). The hydrolysis of the methyl ester group of (XXXVI) with LiOH in THF/MeOH gives the carboxylic acid (XXXVII), which is condensed with the aminoethyl-3-pyrroline intermediate (XXVI) by means of EDC and HOBt in dichloromethane to yield the amide intermediate (XXXVIII). The cleavage of the silyl ether group of (XXXVIII) by means of TBAF in THF affords the primary alcohol (XXXIX), which is treated with Pyr/SO3 and Bu2SnO to provide the sulfate ester (XL). Finally, this compound is fully deprotected by means of TFA in dichloromethane and purified by means of preparative HPLC to obtain the target dysinosin A (2).

参考文献No.785622
标题:1,3-Asymmetric induction in dianionic allylation reactions of amino acid derivatives-synthesis of functionally useful enantiopure glutamates, pipecolates and pyroglutamates
作者:Hanessian, S.; Margarita, R.
来源:Tetrahedron Lett 1998,39(33),5887
合成路线图解说明:

Synthesis of the perhydroindole intermediate (XIII): The alkylation of the N-protected glutamate (I) with allyl bromide (II) by means of LiHMDS in THF gives the protected chiral allyl glutamate (III) (1), which is cyclized by means of TFA in dichloromethane to yield the pyroglutamate (IV). The reduction of (IV) with LiHBEt3 in THF affords the hydroxy compound (V), which is treated with Ac2O and DMAP in dichloromethane to provide the expected hemiaminal derivative (VI). The reaction of (VI) with allyl tributylstannane (VII) by means of BF3/Et2O in toluene gives the diallyl pyrrolidine (VIII), which is submitted to a ring closure by olefin metathesis using a Grubbs Ru catalyst in dichloromethane to yield the hexahydroindole derivative (IX). The reaction of (IX) with mCPBA in dichloromethane affords the epoxide (X), which is hydrolyzed with TFA to yield the dihydroxy compound (XI). The reaction of (XI) with Mom-Cl and DIEA in dichloromethane provides the bis mom ether (XII), which is treated with H2 over Pd/C in methanol to yield the desired perhydroindole intermediate (XIII) (2).

Drug Information Express,Drug R&D,Chemical Database,Patent Search.
Copyright © 2006-2026 Drug Future. All rights reserved.Contact Us