【药物名称】BMS-243117
化学结构式(Chemical Structure):
参考文献No.39357
标题:Benzothiazole protein tyrosine kinase inhibitors
作者:Das, J.; Barrish, J.C.; Wityak, J. (Bristol-Myers Squibb Co.)
来源:EP 1037632; JP 2001522800; WO 9924035
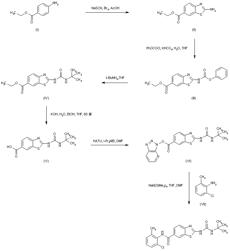
合成路线图解说明:

Reaction of ethyl 4-aminobenzoate (I) with sodium thiocyanate and bromine in cold AcOH gives rise to the amino benzothiazole (II). Subsequent treatment of (II) with phenyl chloroformate affords the phenyl carbamate (III), which is further reacted with tert-butylamine to furnish urea (IV). After alkaline hydrolysis of the ethyl ester (IV), the resultant carboxylic acid (V) is converted to the azabenzotriazolyl active ester (VI) upon treatment with HATU in DMF. Active ester (VI) is finally coupled with 2-chloro-6-methylaniline (VII) in the presence of sodium bis(trimethylsilyl)amide to yield the target amide.

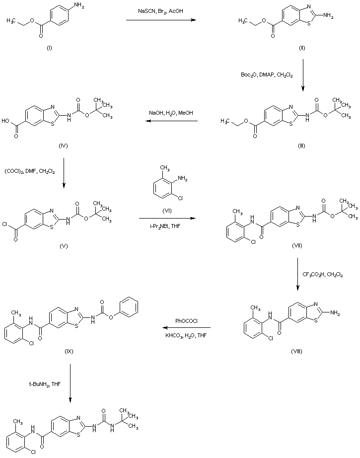
合成路线图解说明:

In an alternative method, ethyl 4-aminobenzoate (I) is treated with NaSCN/Br2 to produce the amino benzothiazole (II), which is further protected as the N-Boc derivative (III). Alkaline hydrolysis of ester (III), followed by chlorination of the resultant acid (IV) with oxalyl chloride gives rise to the acid chloride (V). This is then coupled with 2-chloro-6-methylaniline (VI) yielding amide (VII). The N-Boc protecting group of (VII) is then cleaved employing trifluoroacetic acid to produce amine (VIII), which is subsequently reacted with phenyl chloroformate producing the phenyl carbamate (IX). Finally, displacement of carbamate (IX) with tert-butylamine furnishes the title urea. (1,2)

参考文献No.737789
标题:Molecular design, synthesis, and structure-activity relationships leading to the potent and selective p56(lck) inhibitor BMS-243117
作者:Das, J.; Lin, J.; Moquin, R.V.; Shen, Z.; Spergel, S.H.; Wityak, J.; Doweyko, A.M.; DeFex, H.F.; Fang, Q.; Pang, S.; Pitt, S.; Shen, D.R.; Schieven, G.L.; Barrish, J.C.
来源:Bioorg Med Chem Lett 2003,13(13),2145
合成路线图解说明:

In an alternative method, ethyl 4-aminobenzoate (I) is treated with NaSCN/Br2 to produce the amino benzothiazole (II), which is further protected as the N-Boc derivative (III). Alkaline hydrolysis of ester (III), followed by chlorination of the resultant acid (IV) with oxalyl chloride gives rise to the acid chloride (V). This is then coupled with 2-chloro-6-methylaniline (VI) yielding amide (VII). The N-Boc protecting group of (VII) is then cleaved employing trifluoroacetic acid to produce amine (VIII), which is subsequently reacted with phenyl chloroformate producing the phenyl carbamate (IX). Finally, displacement of carbamate (IX) with tert-butylamine furnishes the title urea. (1,2)

Drug Information Express,Drug R&D,Chemical Database,Patent Search.
Copyright © 2006-2026 Drug Future. All rights reserved.Contact Us