【药物名称】
化学结构式(Chemical Structure):
参考文献No.737813
标题:Cytotoxic 2',5'-dihydroxychalcones with unexpected antiangiogenic activity
作者:Nam, N.-H.; Kim, Y.; You, Y.-J.; Hong, D.-H.; Kim, H.-M.; Ahn, B.-Z.
来源:Eur J Med Chem 2003,38(2),179
合成路线图解说明:

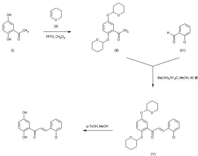
Reaction of 2',5'-dihydroxyacetophenone (I) with dihydropyran (II) and pyridinium p-toluenesulfonate gives the protected bis-tetrahydropyranyl ether (III), which is submitted to Claisen-Schmidt condensation with 2-chlorobenzaldehyde (IV) in the presence of barium hydroxide, yielding the chalcone (V). Finally, the tetrahydropyranyl protecting groups of (V) are removed by acidic hydrolysis with p-toluenesulfonic acid in MeOH.

Drug Information Express,Drug R&D,Chemical Database,Patent Search.
Copyright © 2006-2026 Drug Future. All rights reserved.Contact Us