【药物名称】NC2-86
化学结构式(Chemical Structure):
参考文献No.737831
标题:Simplified discodermolide analogues: Synthesis and biological evaluation of 4-epi-7-dehydroxy-14,16-didemethyl-(+)-discodermolides as microtubule-stabilizing agents
作者:Choy, N.; Shin, Y.; Nguyen, P.Q.; Curran, D.P.; Balachandran, R.; Madiraju, C.; Day, B.W.
来源:J Med Chem 2003,46(14),2846
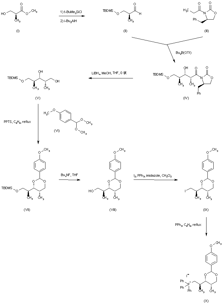
合成路线图解说明:

Protection of (S)-3-hydroxy-2-methylpropionic acid methyl ester (I) as the corresponding silyl ether, followed by reduction with DIBAL provides the aldehyde (II). Diastereoselective aldol condensation of (II) with the chiral N-propionyl oxazolidinone (III) in the presence of dibutylboron triflate leads to adduct (IV), which is then reduced with LiBH4 to give the diol (V). The diol (V) is protected as the cyclic ketal (VII) by treatment with anisaldehyde dimethylacetal (VI) in the presence of pyridinium p-toluenesulfonate (PPTS). Desilylation of (VII) using tetrabutylammonium fluoride yields the alcohol (VIII). Subsequent iodination of (VIII) with I2/PPh3, followed by displacement of alkyl iodide (IX) with PPh3 in refluxing benzene, furnishes the phosphonium salt (X).

合成路线图解说明:

Mono-protection of 1,4-butanediol (XI) by means of 4-methoxybenzyl chloride, followed by Swern oxidation with DMSO/SO3-Pyr, leads to the aldehyde (XII). Condensation of (XII)with the boron enolate of the N-propionyl oxazolidinone (III) and subsequent silylation with tert-butyldimethylsilyl triflate furnishes the N-acyl oxoazolidinone (XIII), which is reduced by LiBH4 to the primary alcohol (XIV), which is then subjected to Swern oxidation to produce the aldehyde (XV). Further condensation of (XV) with acyl oxazolidinone (III) leads to adduct (XVI). The free hydroxyl group of (XVI) is alkylated with chloromethyl methyl ether to produce the O-methoxymethyl derivative (XVII), which under desilylation conditions with HF-pyridine cyclizes to the lactone (XVIII).

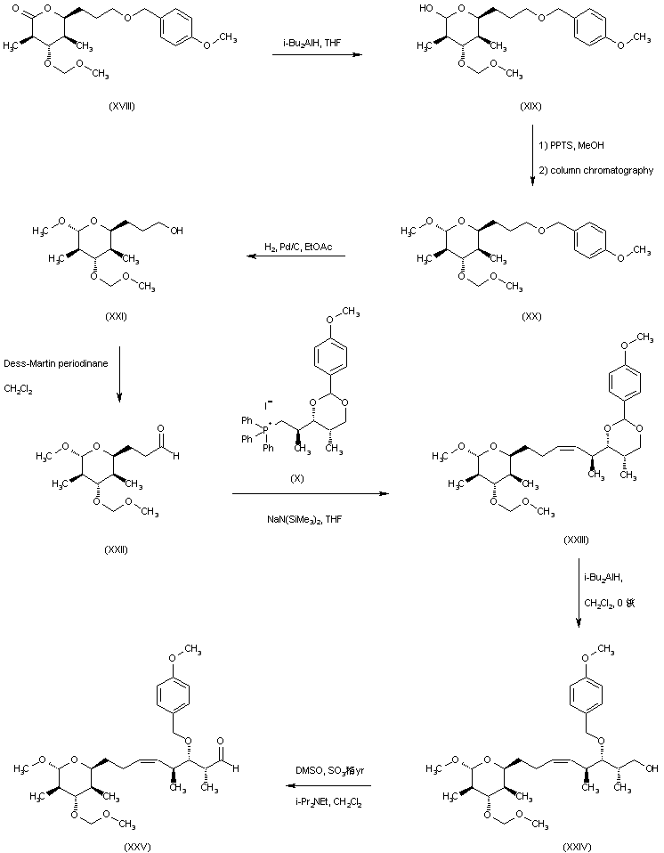
合成路线图解说明:

The lactone (XVIII) is reduced by means of DIBAL to the corresponding lactol (XIX). Treatment of (XIX) with MeOH and PPTS generates an anomeric mixture of methyl ketals, from which isomer (XX) can be separated by column chromatography. Catalytic hydrogenolysis of the p-methoxybenzyl moiety of (XX) leads to alcohol (XXI), which is further converted into aldehyde (XXII) by Dess-Martin oxidation. Wittig condensation between aldehyde (XXII) and phosphonium salt (X) affords the cis-olefin (XXIII). Reductive opening of the cyclic acetal (XXIII) utilizing DIBAL produces the mono-benzylated diol (XXIV), which is then oxidized to aldehyde (XXV) under Swern conditions.

合成路线图解说明:

Wittig condensation of aldehyde (XXV) with the phosphonium salt (XXVI) produces the olefin adduct (XXVII). The O-silyl protecting group of (XXVII) is then removed by treatment with tetrabutylammonium fluoride to afford alcohol (XXVIII).

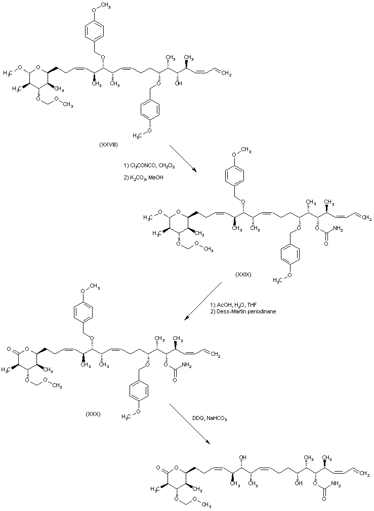
合成路线图解说明:

Acylation of alcohol (XXVIII) with trichloroacetyl isocyanate, followed by alkaline hydrolysis of the trichloroacetyl group leads to the carbamate (XXIX). The methyl acetal function of (XXIX) is then hydrolyzed with aqueous AcOH, and the resultant lactol is further oxidized to the corresponding lactone (XXX) by means of the Dess-Martin periodinane reagent. Finally, removal of the p-methoxybenzyl protecting groups of (XXX) in the presence of DDQ provides the target compound.

Drug Information Express,Drug R&D,Chemical Database,Patent Search.
Copyright © 2006-2026 Drug Future. All rights reserved.Contact Us