【药物名称】STX-681
化学结构式(Chemical Structure):
参考文献No.62645
标题:1,2,4-Triazole derivs. containing a sulphamate group as aromatase inhibitors
作者:Reed, M.J.; Potter, B.V.L.; Purohit, A.; Woo, L.W.L. (Sterix Ltd.)
来源:US 2004019016; WO 0345925
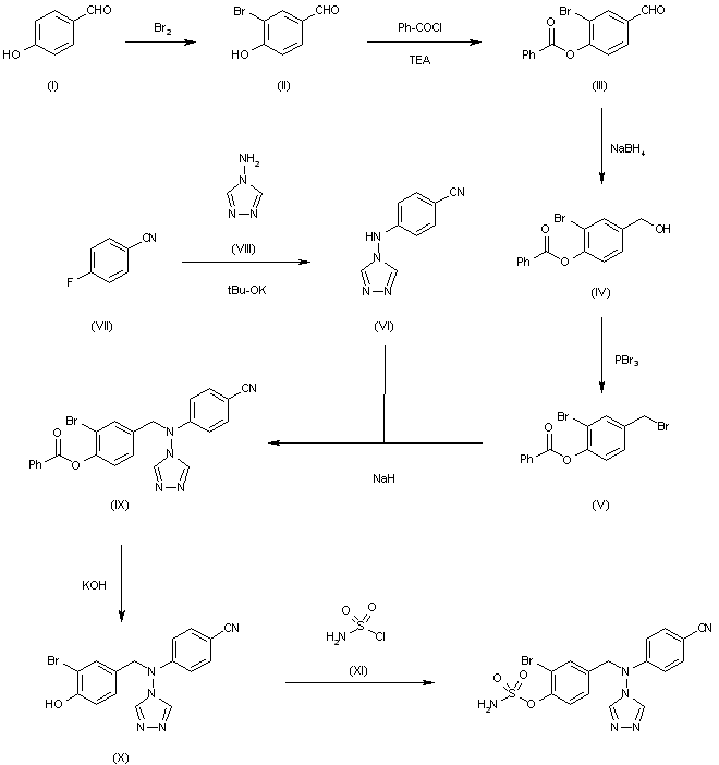
合成路线图解说明:

The bromination of 4-hydroxybenzaldehyde (I) with Br2 in AcOH gives 3-bromo-4-hydroxybenzaldehyde (II), which is treated with benzoyl chloride and TEA in ethyl acetate to yield 4-(benzoyloxy)-3-bromobenzaldehyde (III). The reduction of (III) with NaBH4 in THF affords the benzyl alcohol (IV), which is treated with PBr3 in dichloromethane to provide 4-(benzoyloxy)-3-bromobenzyl bromide (V). Reaction of 4-fluorobenzonitrile (VI) with 4H-1,2,4-triazol-4-amine (VII) by means of t-BuOK in DMSO yields 4-(3H-1,2,4-triazol-4-ylamino)benzonitrile (VIII), which is condensed with compound (V) by means of NaH in DMF to give the tertiary amine (IX). Hydrolysis of the benzoate group of (IX) with KOH in methanol yields the phenol (X), which is finally treated with sulfamoyl chloride (XI) in toluene/DMA to provide the target sulfamate.

参考文献No.735869
标题:First dual aromatase-steroid sulfatase inhibitors
作者:Woo, L.W.L.; Sutcliffe, O.B.; Bubert, C.; Grasso, A.; Chander, S.K.; Purohit, A.; Reed, M.J.; Potter, B.V.L.
来源:J Med Chem 2003,46(15),3193
合成路线图解说明:

The bromination of 4-hydroxybenzaldehyde (I) with Br2 in AcOH gives 3-bromo-4-hydroxybenzaldehyde (II), which is treated with benzoyl chloride and TEA in ethyl acetate to yield 4-(benzoyloxy)-3-bromobenzaldehyde (III). The reduction of (III) with NaBH4 in THF affords the benzyl alcohol (IV), which is treated with PBr3 in dichloromethane to provide 4-(benzoyloxy)-3-bromobenzyl bromide (V). Reaction of 4-fluorobenzonitrile (VI) with 4H-1,2,4-triazol-4-amine (VII) by means of t-BuOK in DMSO yields 4-(3H-1,2,4-triazol-4-ylamino)benzonitrile (VIII), which is condensed with compound (V) by means of NaH in DMF to give the tertiary amine (IX). Hydrolysis of the benzoate group of (IX) with KOH in methanol yields the phenol (X), which is finally treated with sulfamoyl chloride (XI) in toluene/DMA to provide the target sulfamate.

Drug Information Express,Drug R&D,Chemical Database,Patent Search.
Copyright © 2006-2026 Drug Future. All rights reserved.Contact Us