【药物名称】
化学结构式(Chemical Structure):
参考文献No.736138
标题:Discovery of a potent and selective protein kinase CK2 inhibitor by high-throughput docking
作者:Vangrevelinghe, E.; Zimmermann, K.; Schoepfer, J.; Portmann, R.; Fabbro, D.; Furet, P.
来源:J Med Chem 2003,46(13),2656
合成路线图解说明:

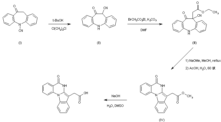
The dibenzoazepine-5-carbonitrile (I) is converted to its 11-cyano isomer (II) in the presence of potassium tert-butoxide in dichloroethane. Alkylation of the keto nitrile (II) with ethyl bromoacetate leads to the dibenzoazepine derivative (III). Rearrangement of (III) under basic conditions affords the indoloquinazoline (IV). Finally, alkaline hydrolysis of methyl ester (IV) provides the corresponding carboxylic acid.

Drug Information Express,Drug R&D,Chemical Database,Patent Search.
Copyright © 2006-2026 Drug Future. All rights reserved.Contact Us