【药物名称】
化学结构式(Chemical Structure):
参考文献No.735971
标题:Substituted bridged phenyl piperidines: Orally active growth hormone secretagogues
作者:Lu, Z.; Tata, J.R.; Cheng, K.; Wei, L.; Chan, W.W.-S.; Butler, B.; Schleim, K.D.; Jacks, T.M.; Hickey, G.; Patchett, A.A.
来源:Bioorg Med Chem Lett 2003,13(10),1817
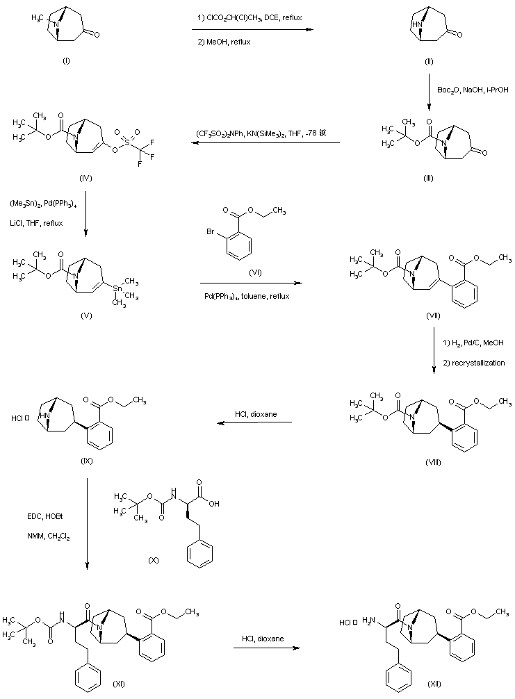
合成路线图解说明:

Demethylation of tropinone (I) by means of 1-chloroethyl chloroformate, followed by protection of the resultant secondary amine (II) with di-tert-butyl dicarbonate, leads to the N-Boc derivative (III). Treatment of the potassium enolate of (III) with N-phenyl trifluoromethanesulfonimide produces the vinyl triflate (IV), which is then converted to the stannyl derivative (V) upon treatment with hexamethylditin and palladium catalyst. Stille coupling of (V) with ethyl 2-bromobenzoate (VI) affords (VII). After catalytic double bond hydrogenation of (VII), the resultant mixture of diastereoisomers is separated by recrystallization from hexane/ethyl acetate to give (VIII). The N-Boc protecting group of (VIII) is cleaved with HCl in dioxane to yield amine (IX), which is then coupled with N-Boc-D-benzylalanine (X) to furnish amide (XI). Subsequent acidic Boc-group cleavage gives rise to the amine (XII).

合成路线图解说明:

Coupling of the amine (XII) with N-Boc-2-aminoisobutyric acid (XIII) leads to the dipeptide amide (XIV). Alkaline hydrolysis of the ethyl ester group of (XIV) gives the benzoic acid (XV), which is then coupled to ethylamine to produce the amide (XVI). Finally, the N-Boc protecting group of (XVI) is cleaved by means of HCl in dioxane to furnish the target compound.

Drug Information Express,Drug R&D,Chemical Database,Patent Search.
Copyright © 2006-2026 Drug Future. All rights reserved.Contact Us