【药物名称】
化学结构式(Chemical Structure):
参考文献No.735960
标题:New fibrinolytic agents: Benzothiophene derivatives as inhibitors of the t-PA-PAI-1 complex formation
作者:De Nanteuil, G.; Lila-Ambroise, C.; Rupin, A.; Vallez, M.-O.; Verbeuren, T.J.
来源:Bioorg Med Chem Lett 2003,13(10),1705
合成路线图解说明:

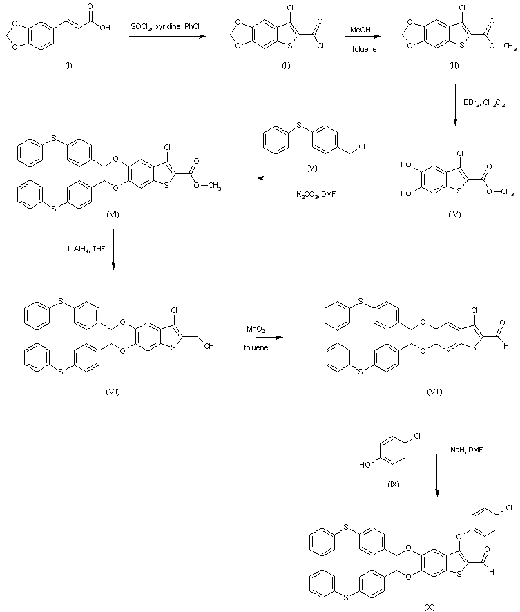
Treatment of 3,4-methylenedioxycinnamic acid (I) with thionyl chloride and pyridine gives the benzothiophene-2-carbonyl chloride (II), which is reacted with methanol in toluene to produce the methyl ester (III). Cleavage of the methylenedioxy group of (III) with BBr3 affords the dihydroxy derivative (IV), which upon alkylation with 4-(phenylsulfanyl)benzyl chloride (V) yields the diether derivative (VI). The ester function of (VI) is then reduced by LiAlH4 to the primary alcohol (VII), which is further oxidized to aldehyde (VIII) by means of MnO2 in toluene. Substitution of the chlorine atom of (VIII) with 4-chlorophenol (IX) in the presence of NaH furnishes the chlorophenyl ether (X).

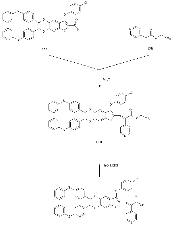
合成路线图解说明:

Knoevenagel condensation of aldehyde (X) with ethyl pyridylacetate (XI) in the presence of Ac2O leads to the unsaturated ester (XII), which is finally submitted to saponification with ethanolic NaOH to furnish the corresponding carboxylic acid.

Drug Information Express,Drug R&D,Chemical Database,Patent Search.
Copyright © 2006-2026 Drug Future. All rights reserved.Contact Us