【药物名称】CB-403
化学结构式(Chemical Structure):
参考文献No.729523
标题:Cinnamaldehydes inhibit cyclin dependent kinase 4/cyclin D1
作者:Jeong, H.-W.; Kim, M.-R.; Son, K.-H.; Han, M.Y.; Ha, J.-H.; Garnier, M.; Meijer, L.; Kwon, B.-M.
来源:Bioorg Med Chem Lett 2000,10(16),1819
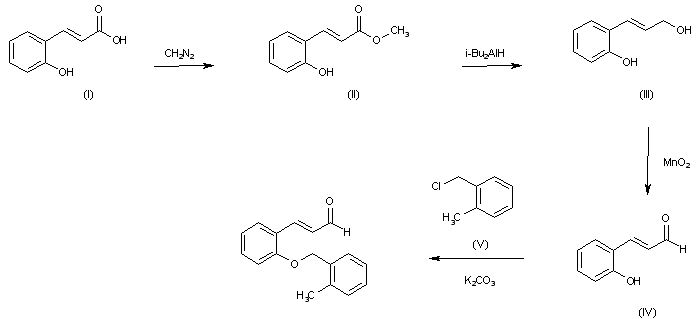
合成路线图解说明:

2-Hydroxycinnamic acid (I) is converted to its methyl ester (II) by treatment with diazomethane. After reduction of the ester (II) with DIBAL, the resultant cinnamyl alcohol (III) is oxidized to aldehyde (IV) using manganese dioxide. Finally, the phenol (IV) is alkylated with the benzyl halide (V) to yield the corresponding benzyl ether.

Drug Information Express,Drug R&D,Chemical Database,Patent Search.
Copyright © 2006-2026 Drug Future. All rights reserved.Contact Us