【药物名称】
化学结构式(Chemical Structure):
参考文献No.61948
标题:Derivs. of etoposide and analogs, and pharmaceutical compsns. containing them
作者:Monneret, C.; Schmidt, F. (CNRS (Centre National de la Recherche Scientifique); Institut Curie)
来源:WO 0335661
合成路线图解说明:

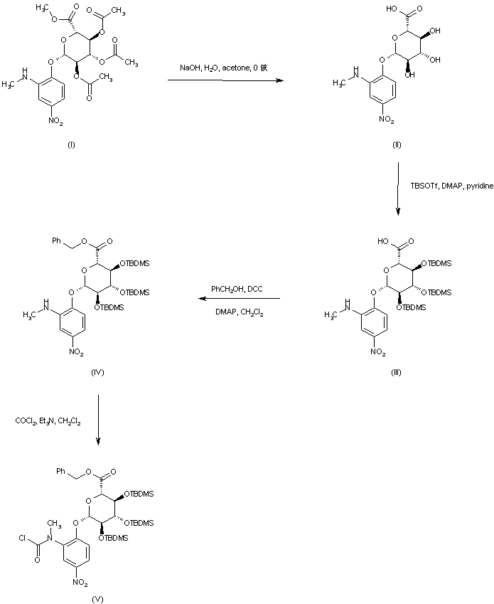
The protected glucuronic acid derivative (I) is hydrolyzed under alkaline conditions to furnish (II). The alcoholic hydroxyl groups of (II) are subsequently protected as the silyl ether (III) employing t-butyldimethylsilyl triflate in the presence of DMAP. The carboxyl group of (III) is further converted to the corresponding benzyl ester (IV) by DCC-mediated coupling with benzyl alcohol. Acylation of amine (IV) with phosgene leads to the carbamyl chloride (V). (1,2)

合成路线图解说明:

Reaction of etoposide (VI) with acid chloride (V) produces the carbamate adduct (VII). The silyl protecting groups of (VII) are then removed by treatment with HF-pyridine yielding triol (VIII). Finally, the benzyl ester function of (VIII) is deprotected by transfer hydrogenolysis in the presence of cyclohexadiene and Pd/C. (1,2)

参考文献No.735389
标题:Prodrug mono therapy: Synthesis and biological evaluation of an etoposide glucuronide-prodrug
作者:Schmidt, F.; Monneret, C.
来源:Bioorg Med Chem 2003,11(10),2277
合成路线图解说明:

The protected glucuronic acid derivative (I) is hydrolyzed under alkaline conditions to furnish (II). The alcoholic hydroxyl groups of (II) are subsequently protected as the silyl ether (III) employing t-butyldimethylsilyl triflate in the presence of DMAP. The carboxyl group of (III) is further converted to the corresponding benzyl ester (IV) by DCC-mediated coupling with benzyl alcohol. Acylation of amine (IV) with phosgene leads to the carbamyl chloride (V). (1,2)

合成路线图解说明:

Reaction of etoposide (VI) with acid chloride (V) produces the carbamate adduct (VII). The silyl protecting groups of (VII) are then removed by treatment with HF-pyridine yielding triol (VIII). Finally, the benzyl ester function of (VIII) is deprotected by transfer hydrogenolysis in the presence of cyclohexadiene and Pd/C. (1,2)

Drug Information Express,Drug R&D,Chemical Database,Patent Search.
Copyright © 2006-2026 Drug Future. All rights reserved.Contact Us