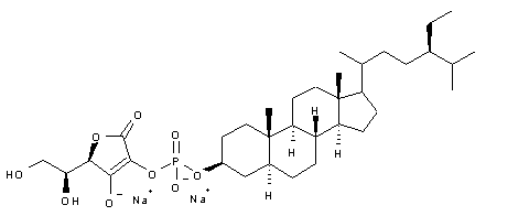
【药物名称】Sitostanol ascorbyl phosphate
化学结构式(Chemical Structure):
参考文献No.62301
标题:Conjugates of phytosterol or phytostanol with ascorbic acid and use thereof in treating or preventing cardiovascular disease
作者:Chen, H.; Milanova, R.K.; Kutney, J.P.; Hou, D.; Ding, Y. (Forbes Medi-Tech Inc.)
来源:JP 2003522124; WO 0100653
合成路线图解说明:

Reaction of campestanol (I) with phosphorus oxychloride and pyridine gives the dichlorophosphoryl compound (II). Ascorbic acid (III) is protected as the 5,6-isopropylidene ketal (IV) upon treatment with acetone and fuming sulfuric acid. Condensation of (IV) with acid chloride (II) provides the phosphoryl monochloride (V), which is hydrolyzed under acidic conditions to yield the phosphate diester (VI). Finally, compound (VI) is converted to the target disodium salt by using an ethanolic solution of NaOMe. (1,2)

合成路线图解说明:

Reaction of sitostanol (I) with phosphorus oxychloride and pyridine affords the dichlorophosphoryl compound (II). Ascorbic acid (III) is protected as the 5,6-isopropylidene ketal (IV) upon treatment with acetone and fuming sulfuric acid. Condensation of (IV) with acid chloride (II) provides the phosphoryl monochloride (V), which is hydrolyzed under acidic conditions to yield the phosphate diester (VI). Finally, compound (VI) is converted to the target disodium salt by using an ethanolic solution of NaOMe. (1,2)

参考文献No.62302
标题:Novel structures comprising phytosterol and/or phytostanol and ascorbic acid and use thereof as weight regulating agents
作者:Novak, E.; Milanova, R.K.; Kutney, J.P.; Pritchard, H.P.; Lukic, T. (Forbes Medi-Tech Inc.)
来源:WO 0234241
合成路线图解说明:

Reaction of campestanol (I) with phosphorus oxychloride and pyridine gives the dichlorophosphoryl compound (II). Ascorbic acid (III) is protected as the 5,6-isopropylidene ketal (IV) upon treatment with acetone and fuming sulfuric acid. Condensation of (IV) with acid chloride (II) provides the phosphoryl monochloride (V), which is hydrolyzed under acidic conditions to yield the phosphate diester (VI). Finally, compound (VI) is converted to the target disodium salt by using an ethanolic solution of NaOMe. (1,2)

合成路线图解说明:

Reaction of sitostanol (I) with phosphorus oxychloride and pyridine affords the dichlorophosphoryl compound (II). Ascorbic acid (III) is protected as the 5,6-isopropylidene ketal (IV) upon treatment with acetone and fuming sulfuric acid. Condensation of (IV) with acid chloride (II) provides the phosphoryl monochloride (V), which is hydrolyzed under acidic conditions to yield the phosphate diester (VI). Finally, compound (VI) is converted to the target disodium salt by using an ethanolic solution of NaOMe. (1,2)

Drug Information Express,Drug R&D,Chemical Database,Patent Search.
Copyright © 2006-2026 Drug Future. All rights reserved.Contact Us