【药物名称】
化学结构式(Chemical Structure):
参考文献No.52492
标题:Benzodiazepine derivs. as APP modulators
作者:Teall, M.R.; Castro Pineiro, J.L.; Harrison, T.; Owens, A.P.; Guiblin, A.R.; Madin, A.; Williams, S.; Sparey, T.J.; Nadin, A.J.; Churcher, I.; Kerrad, S. (Merck Sharp & Dohme Ltd.)
来源:EP 1294702; JP 2003534333; WO 0190084
合成路线图解说明:

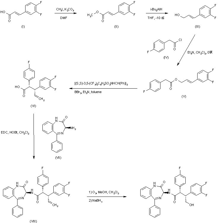
3,4-Difluorocinnamic acid (I) is converted to the corresponding methyl ester (II) by treatment with iodomethane and K2CO3 in DMF. Subsequent reduction of ester (II) employing DIBAL in cold THF affords the cinnamyl alcohol (III). Esterification of (III) with 4-fluorophenylacetyl chloride (IV) gives rise to ester (V). This is then subjected to an asymmetric Ireland-Claisen rearrangement in the presence of the chiral catalyst (S,S)-1,2-bis[[3,5-bis(trifluoromethyl)phenyl]sulfonylamino]-1,2-diphenylethane to produce the diaryl pentenoic acid (VI). Coupling of acid (VI) with aminobenzodiazepinone (VII) furnishes amide (VIII). Finally, ozonolysis of the olefin double bond of (VIII) followed by reductive work up with NaBH4 leads to the desired 4-hydroxybutyramide derivative. (1,2)

参考文献No.735365
标题:Design and synthesis of highly potent benzodiazepine gamma-secretase inhibitors: Preparation of (2S,3R)-3-(3,4-difluorophenyl)-2-(4-fluorophenyl)-4-hydroxy-N-((3S)-1-methyl-2-oxo-5-phenyl-2,3-dihydro-1H-benzo[e][1,4]-diazepin-3-yl)butyramide by use of an
作者:Churcher, I.; Williams, S.; Kerrad, S.; Harrison, T.; Castro, J.L.; Shearman, M.S.; Lewis, H.D.; Clarke, E.E.; Wrigley, J.D.J.; Beher, D.; Tang, Y.S.; Liu, W.
来源:J Med Chem 2003,46(12),2275
合成路线图解说明:

3,4-Difluorocinnamic acid (I) is converted to the corresponding methyl ester (II) by treatment with iodomethane and K2CO3 in DMF. Subsequent reduction of ester (II) employing DIBAL in cold THF affords the cinnamyl alcohol (III). Esterification of (III) with 4-fluorophenylacetyl chloride (IV) gives rise to ester (V). This is then subjected to an asymmetric Ireland-Claisen rearrangement in the presence of the chiral catalyst (S,S)-1,2-bis[[3,5-bis(trifluoromethyl)phenyl]sulfonylamino]-1,2-diphenylethane to produce the diaryl pentenoic acid (VI). Coupling of acid (VI) with aminobenzodiazepinone (VII) furnishes amide (VIII). Finally, ozonolysis of the olefin double bond of (VIII) followed by reductive work up with NaBH4 leads to the desired 4-hydroxybutyramide derivative. (1,2)

Drug Information Express,Drug R&D,Chemical Database,Patent Search.
Copyright © 2006-2026 Drug Future. All rights reserved.Contact Us