【药物名称】
化学结构式(Chemical Structure):
参考文献No.58219
标题:Combinations of aldose reductase inhibitors and cyclooxygenase-2 inhibitors
作者:Mylari, B.L. (Pfizer Products Inc.)
来源:WO 0287584
合成路线图解说明:

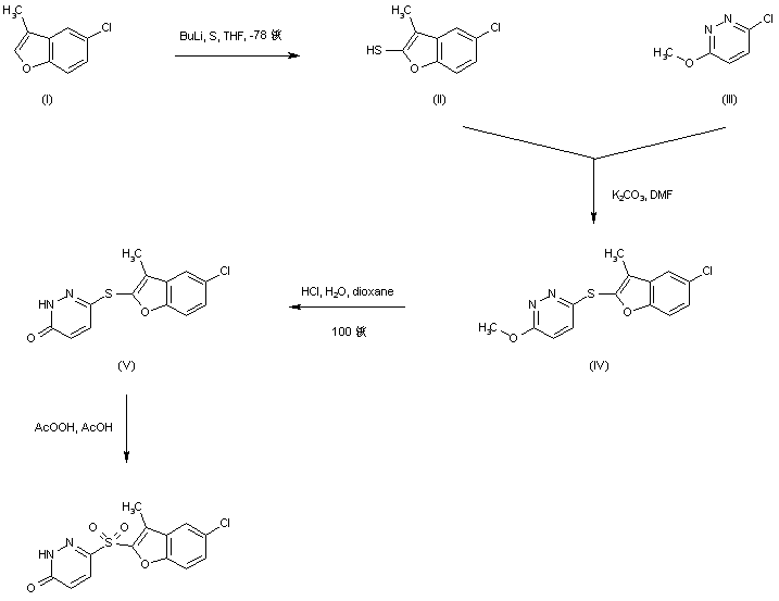
The title sulfone derivative is prepared by two alternative methods. Addition of sulfur to the lithio derivative of 5-chloro-3-methylbenzofuran (I) affords thiol (II). Further condensation of (II) with 3-chloro-6-methoxypyridazine (III) yields sulfide (IV). Acidic hydrolysis of methoxypyridazine (IV) leads to pyridazinone (V). The sulfide group of (V) is finally oxidized to the required sulfone employing an AcOH solution of peracetic acid. (1,2)

合成路线图解说明:

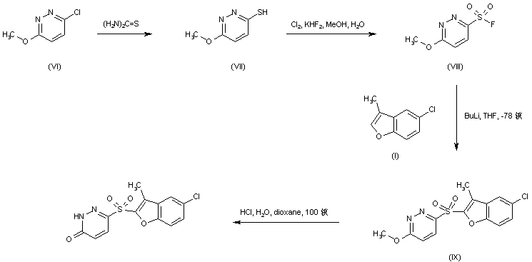
Alternatively, 3-chloro-6-methoxypyridazine (VI) is converted into the pyridazine thiol (VII) via reaction with thiourea in butanone. Oxidation of thiol (VII) with chlorine in the presence of potassium bifluoride leads to 4-methoxypyridazine-3-sulfonyl fluoride (VIII) (3). The lithio derivative of 5-chloro-3-methylbenzofuran (I) is then condensed with sulfonyl fluoride (VIII) to produce sulfone (IX). Finally, acidic hydrolysis of the methoxypyridazine group of (IX) gives rise to the corresponding pyridazinone compound (1-3).

参考文献No.59361
标题:Pyridazinone aldose reductase inhibitors
作者:Mylari, B.L. (Pfizer Products Inc.)
来源:US 2002143017; US 6579879; WO 0279198
合成路线图解说明:

The title sulfone derivative is prepared by two alternative methods. Addition of sulfur to the lithio derivative of 5-chloro-3-methylbenzofuran (I) affords thiol (II). Further condensation of (II) with 3-chloro-6-methoxypyridazine (III) yields sulfide (IV). Acidic hydrolysis of methoxypyridazine (IV) leads to pyridazinone (V). The sulfide group of (V) is finally oxidized to the required sulfone employing an AcOH solution of peracetic acid. (1,2)

合成路线图解说明:

Alternatively, 3-chloro-6-methoxypyridazine (VI) is converted into the pyridazine thiol (VII) via reaction with thiourea in butanone. Oxidation of thiol (VII) with chlorine in the presence of potassium bifluoride leads to 4-methoxypyridazine-3-sulfonyl fluoride (VIII) (3). The lithio derivative of 5-chloro-3-methylbenzofuran (I) is then condensed with sulfonyl fluoride (VIII) to produce sulfone (IX). Finally, acidic hydrolysis of the methoxypyridazine group of (IX) gives rise to the corresponding pyridazinone compound (1-3).

参考文献No.727689
标题:A highly selective, non-hydantoin, non-carboxylic acid inhibitor of aldose reductase with potent oral activity in diabetic rat models: 6-(5-chloro-3-methylbenzofuran-2-sulfonyl)-2-H-pyridazin-3-one
作者:Mylari, B.L.; Armento, S.J.; Beebe, D.A.; Conn, E.L.; Coutcher, J.B.; Dina, M.S.; O'Gorman, M.T.; Linhares, M.C.; Martin, W.H.; Oates, P.J.; Tess, D.A.; Withbroe, G.J.; Zembrowski, W.J.
来源:J Med Chem 2003,46(12),2283
合成路线图解说明:

Alternatively, 3-chloro-6-methoxypyridazine (VI) is converted into the pyridazine thiol (VII) via reaction with thiourea in butanone. Oxidation of thiol (VII) with chlorine in the presence of potassium bifluoride leads to 4-methoxypyridazine-3-sulfonyl fluoride (VIII) (3). The lithio derivative of 5-chloro-3-methylbenzofuran (I) is then condensed with sulfonyl fluoride (VIII) to produce sulfone (IX). Finally, acidic hydrolysis of the methoxypyridazine group of (IX) gives rise to the corresponding pyridazinone compound (1-3).

Drug Information Express,Drug R&D,Chemical Database,Patent Search.
Copyright © 2006-2026 Drug Future. All rights reserved.Contact Us