【药物名称】
化学结构式(Chemical Structure):
参考文献No.37209
标题:N-Hydroxy-2-(alkyl, aryl or heteroaryl sulfanyl, sulfinyl or sulfonyl)-3-substd. alkyl, aryl or heteroarylamides as matrix metalloproteinase inhibitors
作者:Venkatesan, A.M.; Grosu, G.T.; Davis, J.M.; Baker, J.L. (Wyeth)
来源:EP 0970046; EP 0973512; JP 2001513771; JP 2001519777; WO 9837877; WO 9838163
合成路线图解说明:

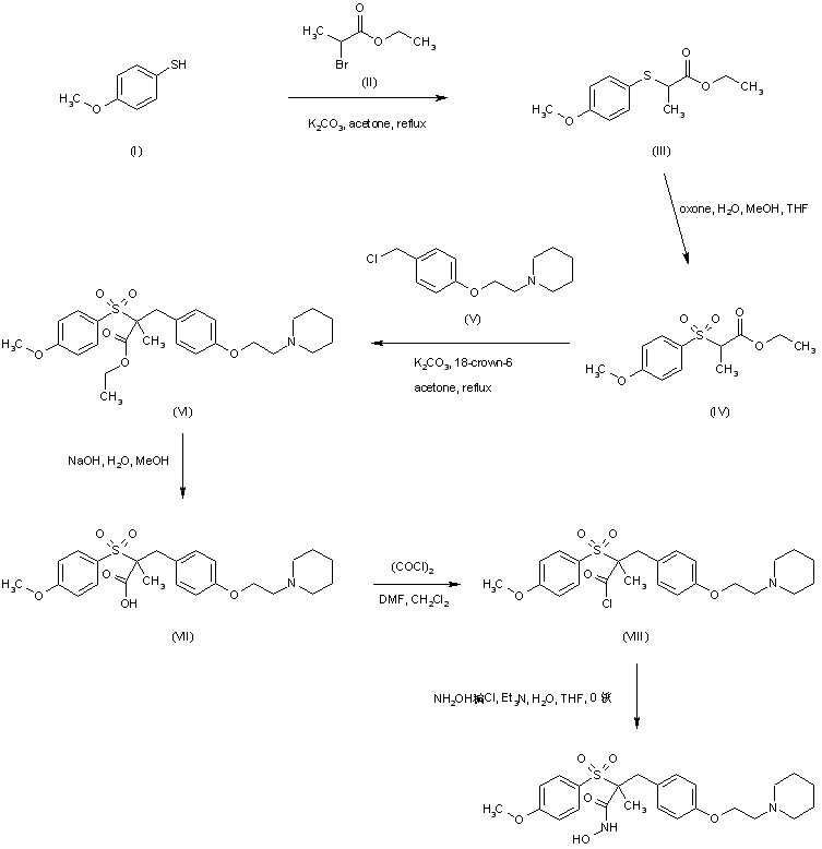
Alkylation of 4-methoxythiophenol (I) with ethyl 2-bromopropionate (II) gives thioether (III), which is further oxidized to sulfone (IV) employing oxone in MeOH/THF. Alkylation at the alpha-position of sulfone (IV) with 4-(2-piperidin-1-ylethoxy)benzyl chloride (V) in the presence of K2CO3 and crown ether furnishes adduct (VI). After alkaline hydrolysis of ethyl ester (VI), the resultant carboxylic acid (VII) is activated as the corresponding acid chloride (VIII) employing oxalyl chloride and DMF. Finally, reaction of acid chloride (VIII) with hydroxylamine in cold aqueous THF produces the target hydroxamic acid. (1-4)

参考文献No.40355
标题:N-Hydroxy-2-(alkyl, aryl, or heteroaryl sulfanyl, sulfinyl or sulfonyl)-3-substd.-alkyl, aryl or heteroarylamides as matrix metalloproteinase inhibitors
作者:Venkatesan, A.M. (Wyeth)
来源:EP 1054858; JP 2002503717; US 6197791; WO 9942436
合成路线图解说明:

Alkylation of 4-methoxythiophenol (I) with ethyl 2-bromopropionate (II) gives thioether (III), which is further oxidized to sulfone (IV) employing oxone in MeOH/THF. Alkylation at the alpha-position of sulfone (IV) with 4-(2-piperidin-1-ylethoxy)benzyl chloride (V) in the presence of K2CO3 and crown ether furnishes adduct (VI). After alkaline hydrolysis of ethyl ester (VI), the resultant carboxylic acid (VII) is activated as the corresponding acid chloride (VIII) employing oxalyl chloride and DMF. Finally, reaction of acid chloride (VIII) with hydroxylamine in cold aqueous THF produces the target hydroxamic acid. (1-4)

合成路线图解说明:

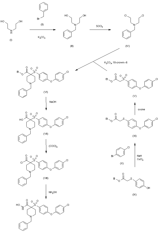
The alkylation of diethanolamine (I) with benzyl bromide (II) by means of K2CO3 in refluxing acetone gives the tertiary amine (III), which is treated with SOCl2 in hot toluene to yield the bis-(2-chloroethyl)amine (IV). The cyclization of (IV) with 2-[4-(4-chlorophenoxy)phenylsulfonyl]acetic acid ethyl ester (V) by means of K2CO3 and 18-crown-6 in refluxing acetone affords the piperidine derivative (VI). The hydrolysis of the ester group of (VI) by means of NaOH in THF/methanol provides the corresponding acetic acid derivative (VII), which is treated with oxalyl chloride in DMF/dichloromethane to give the acid chloride (VIII). Finally, this compound is treated with hydroxylamine and TEA to provide the target hydroxamic acid. (1,2) The intermediate 2-[4-(4-chlorophenoxy)phenylsulfonyl]acetic acid ethyl ester (V) has been obtained as follows. The condensation of 2-(4-hydroxyphenylsulfanyl)acetic acid ethyl ester (IX) with 4-bromochlorobenzene (X) by means of NaH and CuCl2 in refluxing pyridine gives 2-[4-(4-chlorophenoxy)phenylsulfanyl]acetic acid ethyl ester (XI), which is finally oxidized with oxone to yield the target intermediate (V). (2)

参考文献No.63087
标题:N-Hydroxy-2-(alkyl, aryl, or heteroaryl sulfanyl, sulfinyl or sulfonyl)-3-substd. alkyl, aryl or heteroarylamides as matrix metalloproteinase inhibitors
作者:Venkatesan, A.M.; Grosu, G.T.; Davis, J.M.; Baker, J.L.; Cole, D.C.; Hu, B.; Jacobson, M.P.; O'Dell, M.R. (Wyeth)
来源:US 6172057
合成路线图解说明:

Alkylation of 4-methoxythiophenol (I) with ethyl 2-bromopropionate (II) gives thioether (III), which is further oxidized to sulfone (IV) employing oxone in MeOH/THF. Alkylation at the alpha-position of sulfone (IV) with 4-(2-piperidin-1-ylethoxy)benzyl chloride (V) in the presence of K2CO3 and crown ether furnishes adduct (VI). After alkaline hydrolysis of ethyl ester (VI), the resultant carboxylic acid (VII) is activated as the corresponding acid chloride (VIII) employing oxalyl chloride and DMF. Finally, reaction of acid chloride (VIII) with hydroxylamine in cold aqueous THF produces the target hydroxamic acid. (1-4)

参考文献No.735370
标题:Synthesis and structure-activity relationship of alpha-sulfonylhydroxamic acids as novel, orally active matrix metalloproteinase inhibitors for the treatment of osteoarthritis
作者:Aranapakam, V.; Grosu, G.T.; Davis, J.M.; Hu, B.; Ellingboe, J.; Baker, J.L.; Skotnicki, J.S.; Zask, A.; DiJoseph, J.F.; Sung, A.; Sharr, M.A.; Killar, L.M.; Walter, T.; Jin, G.; Cowling, R.
来源:J Med Chem 2003,46(12),2361
合成路线图解说明:

Alkylation of 4-methoxythiophenol (I) with ethyl 2-bromopropionate (II) gives thioether (III), which is further oxidized to sulfone (IV) employing oxone in MeOH/THF. Alkylation at the alpha-position of sulfone (IV) with 4-(2-piperidin-1-ylethoxy)benzyl chloride (V) in the presence of K2CO3 and crown ether furnishes adduct (VI). After alkaline hydrolysis of ethyl ester (VI), the resultant carboxylic acid (VII) is activated as the corresponding acid chloride (VIII) employing oxalyl chloride and DMF. Finally, reaction of acid chloride (VIII) with hydroxylamine in cold aqueous THF produces the target hydroxamic acid. (1-4)

Drug Information Express,Drug R&D,Chemical Database,Patent Search.
Copyright © 2006-2026 Drug Future. All rights reserved.Contact Us