【药物名称】CTC-8
化学结构式(Chemical Structure):
参考文献No.785641
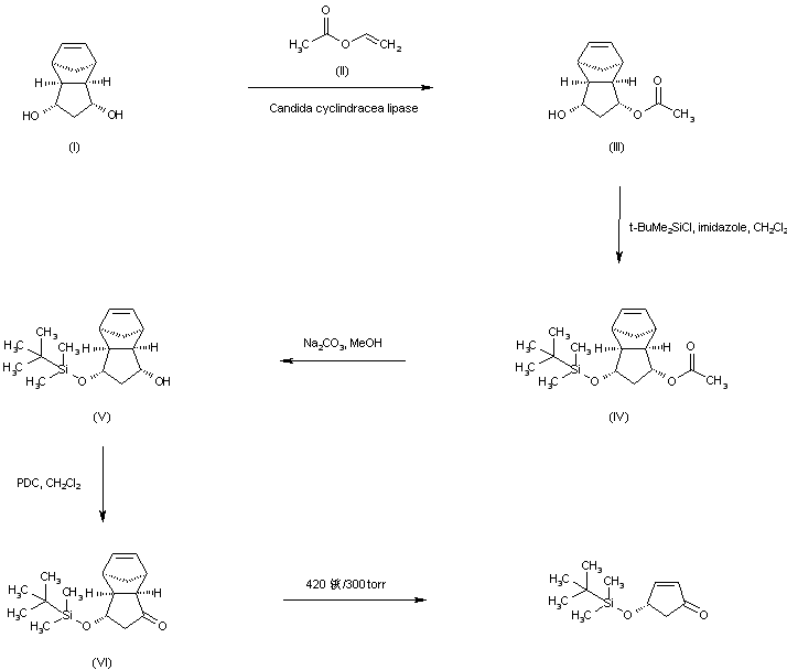
标题:Highly enantioselective synthesis of (+) and (-)endo- tricyclo [5.2.1.02,6]deca-4,8-dien-3-one and (-)-4-t-butyldimethylsilyloxy-cyclopentenone by enzyme-catalyzed acetylation
作者:Liu, Z.-Y.; He, L.; Zheng, H.
来源:Tetrahedron Asymmetry 1993,4(11),2277
合成路线图解说明:

Enantioselective enzyme-catalyzed transesterification of the tricyclic diol (I) with vinyl acetate (II) provides the chiral monoacetate (III). After protection of the free hydroxyl group of (III) as the tert-butyldimethylsilyl ether (IV), alkaline hydrolysis of the acetate ester group yields alcohol (V), which is then oxidized to the corresponding ketone (VI) by means of pyridinium dichromate. Finally, thermal retro-Diels-Alder reaction of (VI) under diminished pressure furnishes the target cyclopentenone derivative.

Drug Information Express,Drug R&D,Chemical Database,Patent Search.
Copyright © 2006-2026 Drug Future. All rights reserved.Contact Us