【药物名称】
化学结构式(Chemical Structure):
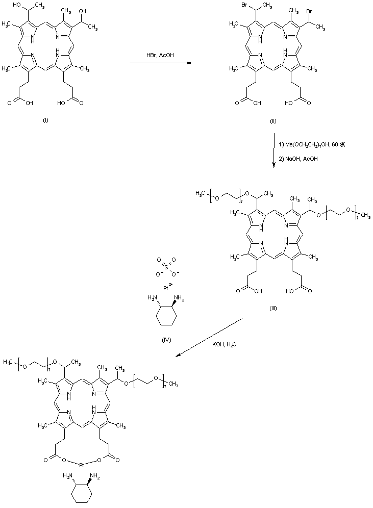
参考文献No.727408
标题:Synthesis, biodistribution and antitumor activity of hematoporphyrin-platinum(II) conjugates
作者:Kim, Y.-S.; Song, R.; Kim, D.H.; Jun, M.J.; Sohn, Y.S.
来源:Bioorg Med Chem 2003,11(8),1753
合成路线图解说明:

Hematoporphyrin IX (I) is treated with an acetic acid solution of HBr to afford dibromide (II). Condensation of (II) with polyethyleneglycol 350 monomethyl ether, followed by alkaline hydrolysis of the ester groups generated during the reaction furnishes the polyethyleneglycol-conjugated porphyrin derivative (III). Then, complexation of the potassium salt of porphyrin diacid (III) with cis-[(trans-1,2-diaminocyclohexane)platinum(II)] sulfate (IV) by means of KOH in H2O gives rise to the title hematoporphyrin-platinum conjugate.

Drug Information Express,Drug R&D,Chemical Database,Patent Search.
Copyright © 2006-2026 Drug Future. All rights reserved.Contact Us