【药物名称】
化学结构式(Chemical Structure):
参考文献No.42868
标题:Thrombin inhibitors
作者:Sanderson, P.E.; Cutrona, K. (Merck & Co., Inc.)
来源:EP 1117660; JP 2002525370; US 6117888; WO 0018762
合成路线图解说明:

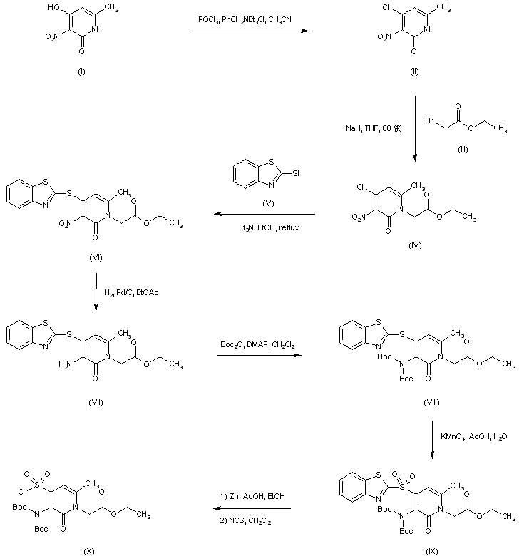
4-Hydroxy-6-methyl-3-nitropyridone (I) is chlorinated to (II) by treatment with POCl3 in the presence of benzyltriethylammonium chloride. Alkylation of pyridone (II) with ethyl bromoacetate (III) and NaH leads to the pyridoneacetate (IV) (1). Displacement of the chloride group of (IV) with 2-mercaptobenzothiazole (V) affords the thioether (VI). After reduction of the nitro group of (VI) by catalytic hydrogenation, the resultant amine (VII) is protected as the di-Boc derivative (VIII) with di-tert-butyl dicarbonate and DMAP. Oxidation of the thioether (VIII) with KmnO4 gives the sulfone (IX), which is submitted to reductive cleavage with Zn/AcOH. Finally chlorination of the intermediate zinc sulfinate with NCS furnishes the sulfonyl chloride (X) (1,2).

合成路线图解说明:

The acid chloride (X) is condensed with cyclopropylmethylamine (XI) to produce the sulfonamide (XII). Subsequent acidic Boc group cleavage in (XII) leads to the amine (XIII). Alkaline hydrolysis of the ethyl ester group of (XIII) provides the acid (XIV), which is subsequently coupled to 6-amino-3-(aminomethyl)-2-methylpyridine (XV) by means of EDC/HOAt to yield the amide (XVI). Finally, condensation of (XVI) with HCHO, followed by cyclization either in the presence of EDC or under acidic conditions, furnishes the target pyridothiadiazine. (1,2)

参考文献No.727369
标题:3-Amino-4-sulfonylpyridinone acetamide and related pyridothiadiazine thrombin inhibitors
作者:Sanderson, P.E.J.; Cutrona, K.J.; Savage, K.L.; Naylor-Olsen, A.M.; Bickel, D.J.; Bohn, D.L.; Clayton, F.C.; Krueger, J.A.; Lewis, S.D.; Lucas, B.J.; Lyle, E.A.; Wallace, A.A.; Welsh, D.C.; Yan, Y.
来源:Bioorg Med Chem Lett 2003,13(8),1441
合成路线图解说明:

4-Hydroxy-6-methyl-3-nitropyridone (I) is chlorinated to (II) by treatment with POCl3 in the presence of benzyltriethylammonium chloride. Alkylation of pyridone (II) with ethyl bromoacetate (III) and NaH leads to the pyridoneacetate (IV) (1). Displacement of the chloride group of (IV) with 2-mercaptobenzothiazole (V) affords the thioether (VI). After reduction of the nitro group of (VI) by catalytic hydrogenation, the resultant amine (VII) is protected as the di-Boc derivative (VIII) with di-tert-butyl dicarbonate and DMAP. Oxidation of the thioether (VIII) with KmnO4 gives the sulfone (IX), which is submitted to reductive cleavage with Zn/AcOH. Finally chlorination of the intermediate zinc sulfinate with NCS furnishes the sulfonyl chloride (X) (1,2).

合成路线图解说明:

The acid chloride (X) is condensed with cyclopropylmethylamine (XI) to produce the sulfonamide (XII). Subsequent acidic Boc group cleavage in (XII) leads to the amine (XIII). Alkaline hydrolysis of the ethyl ester group of (XIII) provides the acid (XIV), which is subsequently coupled to 6-amino-3-(aminomethyl)-2-methylpyridine (XV) by means of EDC/HOAt to yield the amide (XVI). Finally, condensation of (XVI) with HCHO, followed by cyclization either in the presence of EDC or under acidic conditions, furnishes the target pyridothiadiazine. (1,2)

Drug Information Express,Drug R&D,Chemical Database,Patent Search.
Copyright © 2006-2026 Drug Future. All rights reserved.Contact Us