【药物名称】
化学结构式(Chemical Structure):
参考文献No.55288
标题:Modified nucleosides for treatment of viral infections and abnormal cellular proliferation
作者:Watanabe, K.A.; Stuyver, L. (Pharmasset, Inc.)
来源:WO 0232920
合成路线图解说明:

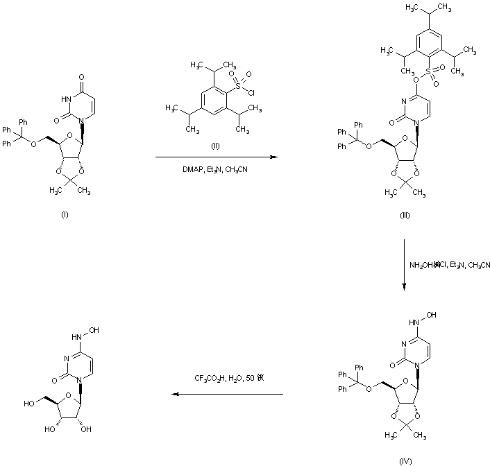
Treatment of 2',3'-O-isopropylidene-5'-O-trityluridine (I) with 2,4,6-triisopropylbenzenesulfonyl chloride (II) in the presence of DMAP affords the sulfonic ester derivative (III). Subsequent displacement of sulfonate (III) with hydroxylamine leads to the protected N-hydroxycytidine (IV). The protecting groups of (IV) are finally removed with aqueous trifluoroacetic acid to furnish the title compound.

Drug Information Express,Drug R&D,Chemical Database,Patent Search.
Copyright © 2006-2026 Drug Future. All rights reserved.Contact Us