【药物名称】
化学结构式(Chemical Structure):
参考文献No.726120
标题:Exploration of cornea permeable calpain inhibitors as anticataract agents
作者:Nakamura, M.; Yamaguchi, M.; Sakai, O.; Inoue, J.
来源:Bioorg Med Chem 2003,11(7),1371
合成路线图解说明:

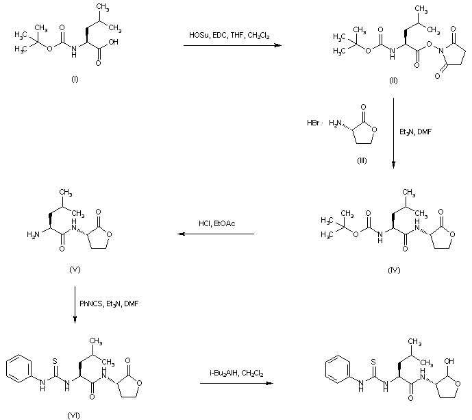
N-Boc-L-Leucine (I) is activated as the corresponding succinimidyl ester (II) upon treatment with N-hydroxysuccinimide and EDC. Coupling of active ester (II) with (S)-alpha-amino-gamma-butyrolactone (III) affords amide (IV). After N-Boc group deprotection of (IV) under acidic conditions, the resultant amine (V) is condensed with phenyl isothiocyanate to furnish thiourea (VI). Finally, reduction of the lactone function of (VI) with DIBAL gives rise to the target cyclic hemiacetal compound.

Drug Information Express,Drug R&D,Chemical Database,Patent Search.
Copyright © 2006-2026 Drug Future. All rights reserved.Contact Us