【药物名称】
化学结构式(Chemical Structure):
参考文献No.726114
标题:Synthesis and anticancer activity of 2-amino-8-chloro-5,5-dioxo[1,2,4]triazolo[2,3-b][1,4,2]benzodithiazine derivatives
作者:Pomarnacka, E.; Gdaniec, M.
来源:Bioorg Med Chem 2003,11(7),1259
合成路线图解说明:

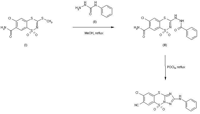
Reaction of the 3-(methylsulfanyl)benzodithiazine (I) with 4-phenylsemicarbazide (II) in boiling MeOH affords adduct (III). Subsequent cyclization of (III) with concomitant amide dehydration in boiling POCl3 furnishes the title tricyclic compound.

Drug Information Express,Drug R&D,Chemical Database,Patent Search.
Copyright © 2006-2026 Drug Future. All rights reserved.Contact Us