【药物名称】
化学结构式(Chemical Structure):
参考文献No.63088
标题:Amino(oxo)acetic acid protein tyrosine phosphatase inhibitors
作者:Liu, G.; Janowick, D.A.; Szczepankiewicz, B.G.; Xin, Z.; Pei, Z.; Oost, T.K. (Abbott Laboratories Inc.)
来源:WO 0218323
合成路线图解说明:

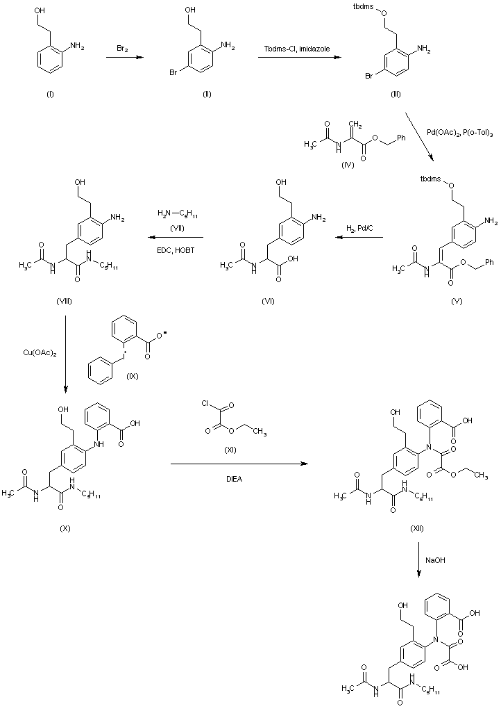
The bromination of 2-(2-hydroxyethyl)aniline (I) with Br2 in AcOH gives the 4-bromo derivative (II), which is silylated with Tbdms-Cl and imidazole in DMF to yield the silyl ether (III). The condensation of (III) with ethyl 2-acetamidoacrylate (IV) by means of Pd(OAc)2, P(o-Tol)3 and TEA in acetonitrile affords the adduct (V). The hydrogenation and simultaneous desilylation and debenzylation of (V) by means of H2 over Pd/C in methanol provides the propionic acid derivative (VI), which is condensed with pentylamine (VII) by means of EDC, HOBT and TEA in DMF to give the propionamide (VIII). The condensation of (VIII) with 2-(phenyliodonium)benzoate (IX) by means of Cu(OAc)2 in hot DMF yields the diphenylamine (X), which is acylated by means of ethoxalyl chloride (XI) and DIEA in dichloromethane to afford the oxalamic ester (XII). Finally, this compound is hydrolyzed with NaOH in methanol to provide the target oxalamic acid.

参考文献No.729508
标题:Discovery and structure-activity relationship of oxalylarylaminobenzoic acids as inhibitors of protein tyrosine phosphatase 1B
作者:Liu, G.; Szczepankiewicz, B.G.; Pei, Z.; Janowick, D.A.; Xin, Z.; Hajduk, P.J.; Abad-Zapatero, C.; Liang, H.; Hutchins, C.W.; Fesik, S.W.; Ballaron, S.J.; Stashko, M.A.; Lubben, T.; Mika, A.K.; Zinker, B.A.; Trevillyan, J.M.; Jirousek, M.R.
来源:J Med Chem 2003,46(11),2093
合成路线图解说明:

The condensation of 4-bromo-2-(2-hydroxyethyl)aniline (I) with methyl 2-acetamidoacrylate (II) by means of Pd(OAc)2, P(o-Tol)3 and TEA in hot DMF gives the adduct (III) which is hydrogenated with H2 over Pd/C in methanol/ethyl acetate to yield the methyl propionate (IV). The hydrolysis of (IV) with NaOH in methanol affords the corresponding free acid (V), which is condensed with pentylamine (VI) by means of EDC, HOBT and TEA in DMF to provide the propionamide (VII). The condensation of (VII) with 2-(phenyliodonium)benzoate (VIII) by means of Cu(OAc)2 in hot DMF gives the diphenylamine (IX), which is condensed with ethoxalyl chloride (X) by means of DIEA in dichloromethane to yield the oxalamic ester (XI). Finally, this compound is hydrolyzed with NaOH in methanol to afford the target oxalamic acid.

Drug Information Express,Drug R&D,Chemical Database,Patent Search.
Copyright © 2006-2026 Drug Future. All rights reserved.Contact Us