【药物名称】
化学结构式(Chemical Structure):
参考文献No.726109
标题:Synthesis and biological evaluation of substituted 2-sulfonyl-phenyl-3-phenyl-indoles: A new series of selective COX-2 inhibitors
作者:Hu, W.; Guo, Z.; Chu, F.; Bai, A.; Yi, X.; Cheng, G.; Li, J.
来源:Bioorg Med Chem 2003,11(7),1153
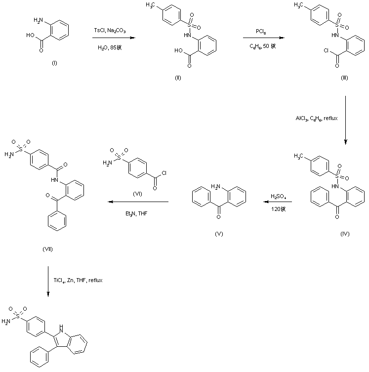
合成路线图解说明:

Sulfonylation of anthranilic acid (I) with p-toluenesulfonyl chloride under Schotten-Baumann conditions furnishes N-tosyl anthranilic acid (II). After conversion of acid (II) to the corresponding acid chloride (III), Friedel-Crafts condensation with benzene in the presence of AlCl3 leads to the benzophenone (IV). The N-tosyl group of (IV) is then removed upon heating with concentrated sulfuric acid to provide 2-aminobenzophenone (V). Acylation of amine (V) with 4-(aminosulfonyl)benzoyl chloride (VI) yields amide (VII). This is finally cyclized to the target indole compound under McMurry conditions employing an in situ generated low valent titanium reagent.

Drug Information Express,Drug R&D,Chemical Database,Patent Search.
Copyright © 2006-2026 Drug Future. All rights reserved.Contact Us