【药物名称】
化学结构式(Chemical Structure):
参考文献No.729513
标题:Unsymmetrical DNA cross-linking agents: Combination of the CBI and PBD pharmacophores
作者:Tercel, M.; Stribbling, S.M.; Sheppard, H.; Siim, B.G.; Wu, K.; Pullen, S.M.; Botting, K.J.; Wilson, W.R.; Denny, W.A.
来源:J Med Chem 2003,46(11),2132
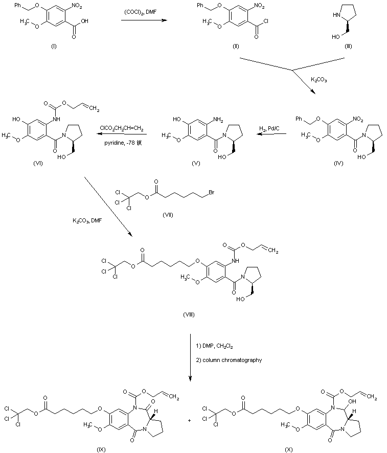
合成路线图解说明:

4-Benzyloxy-5-methoxy-2-nitrobenzoic acid (I) is treated with oxalyl chloride to provide the corresponding acid chloride (II), which is subsequently coupled with (S)-2-pyrrolidinemethanol (III) to give amide (IV). Hydrogenation of (IV) over Pd/C removes the benzyl protecting group and reduces the nitro substituent to the amino benzamide (V). Reaction of the aniline (V) with allyl chloroformate affords the carbamate (VI). The phenolic hydroxyl of (VI) is alkylated with trichloroethyl 6-bromohexanoate (VII) to yield (VIII). Dess-Martin oxidation of the primary alcohol group of (VIII) with concomitant intramolecular cyclization leads to the desired pyrrolobenodiazepine (X) together with the overoxidized dione (IX), which can be separated by column chromatography.

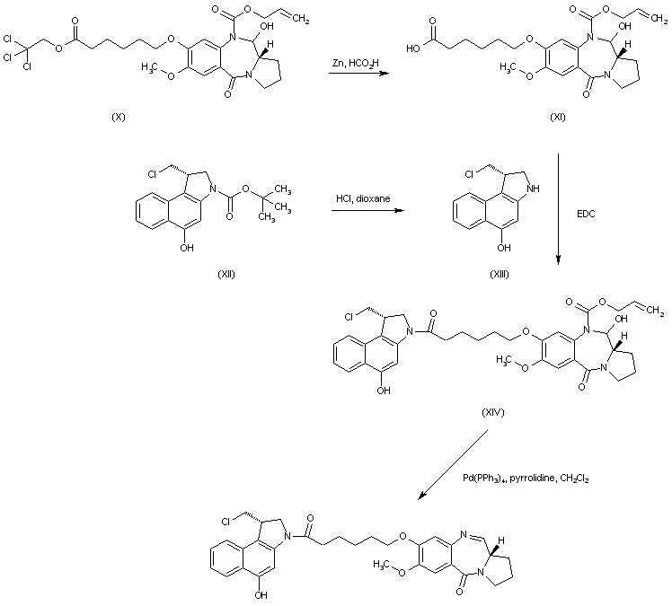
合成路线图解说明:

Cleavage of the trichloroethyl ester of (X) using Zn/HCO2H gives the carboxylic acid (XI). The N-Boc benzindole derivative (XII) is deprotected under acidic conditions to the amine (XIII), which is subsequently coupled with acid (XI) to yield the amide (XIV). Finally, palladium catalyzed cleavage of the N-Alloc group of (XIV) with concomitant dehydration leads to the desired compound.

Drug Information Express,Drug R&D,Chemical Database,Patent Search.
Copyright © 2006-2026 Drug Future. All rights reserved.Contact Us