【药物名称】
化学结构式(Chemical Structure):
参考文献No.725748
标题:Identification of novel and potent isoquinoline aminooxazole-based IMPDH inhibitors
作者:Chen, P.; Norris, D.; Haslow, K.D.; Dhar, T.G.M.; Pitts, W.J.; Watterson, S.H.; Cheney, D.L.; Bassolino, D.A.; Fleener, C.A.; Rouleau, K.A.; Hollenbaugh, D.L.; Townsend, R.M.; Barrish, J.C.; Iwanowicz, E.J.
来源:Bioorg Med Chem Lett 2003,13(7),1345
合成路线图解说明:

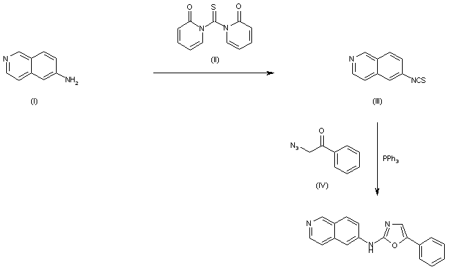
Treatment of 6-aminoisoquinoline (I) with 1,1'-thiocarbonyldi-2(1H)-pyridone (II) provides the isothiocyanate (III). Subsequent condensation of (III) with 2-azidoacetophenone (IV) in the presence of triphenylphosphine affords the title oxazole derivative.

Drug Information Express,Drug R&D,Chemical Database,Patent Search.
Copyright © 2006-2026 Drug Future. All rights reserved.Contact Us