【药物名称】
化学结构式(Chemical Structure):
参考文献No.725747
标题:Synthesis and structure-activity relationships of aroylpyrrole alkylamide bradykinin (B2) antagonists
作者:Youngman, M.A.; Carson, J.R.; Lee, J.S.; Dax, S.L.; Zhang, S.-P.; Colburn, R.W.; Stone, D.J.; Codd, E.E.; Jetter, M.C.
来源:Bioorg Med Chem Lett 2003,13(7),1341
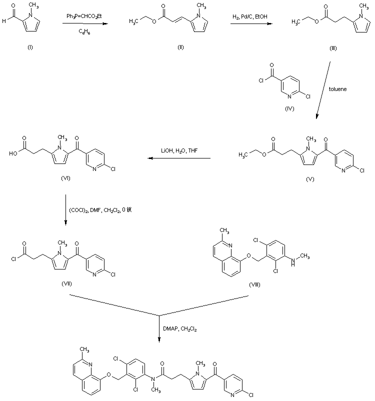
合成路线图解说明:

Wittig reaction of 1-methylpyrrole-2-carboxaldehyde (I) with (ethoxycarbonylmethylene)triphenylphosphorane furnishes the pyrrolylacrylate ester (II), which is subsequently hydrogenated over Pd/C to the pyrrolylpropionate (III). Friedel-Crafts acylation of pyrrole (III) with 6-chloronicotinoyl chloride (IV) gives rise to the pyrrolyl ketone (V). After alkaline hydrolysis of the ethyl ester group of (V), the resultant carboxylic acid (VI) is converted into the corresponding acid chloride (VII) employing oxalyl chloride and DMF. Finally, coupling of acid chloride (VII) with the known aniline derivative (VIII) leads to the desired amide.

Drug Information Express,Drug R&D,Chemical Database,Patent Search.
Copyright © 2006-2026 Drug Future. All rights reserved.Contact Us