【药物名称】
化学结构式(Chemical Structure):
参考文献No.725736
标题:Novel indole-based inhibitors of IMPDH: Introduction of hydrogen bond acceptors at indole C-3
作者:Watterson, S.H.; Dhar, T.G.M.; Ballentine, S.K.; Shen, Z.; Barrish, J.C.; Cheney, D.; Fleener, C.A.; Rouleau, K.A.; Townsend, C.; Hollenbaugh, D.L.; Iwanowicz, E.J.
来源:Bioorg Med Chem Lett 2003,13(7),1273
合成路线图解说明:

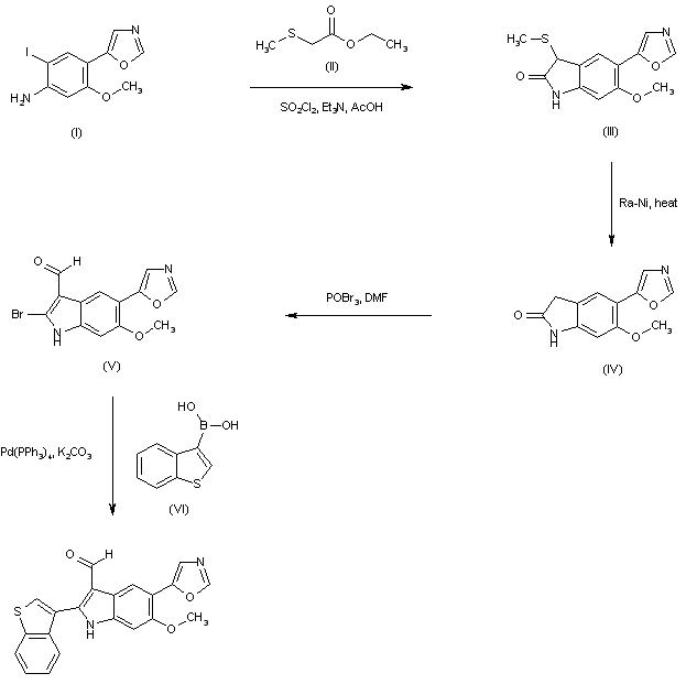
Condensation of iodoaniline (I) with ethyl 2-(methylsulfanyl)acetate (II) in the presence of sulfuryl chloride gives rise to the oxindole derivative (III). Desulfuration of (III) by means of Raney-nickel then affords (IV). The Vilsmeier-Haack reaction of oxindole (IV) with POBr3 and DMF leads to the bromo aldehyde (V). This is finally subjected to Suzuki coupling with 3-benzothienylboronic acid (VI) to furnish the title compound.

Drug Information Express,Drug R&D,Chemical Database,Patent Search.
Copyright © 2006-2026 Drug Future. All rights reserved.Contact Us