【药物名称】
化学结构式(Chemical Structure):
参考文献No.32145
标题:Novel melatonergic indanyl piperazines or homopiperazines
作者:Mattson, R.J.; Sloan, C.P.; Catt, J.D. (Bristol-Myers Squibb Co.)
来源:CA 2175395; EP 0745597
合成路线图解说明:

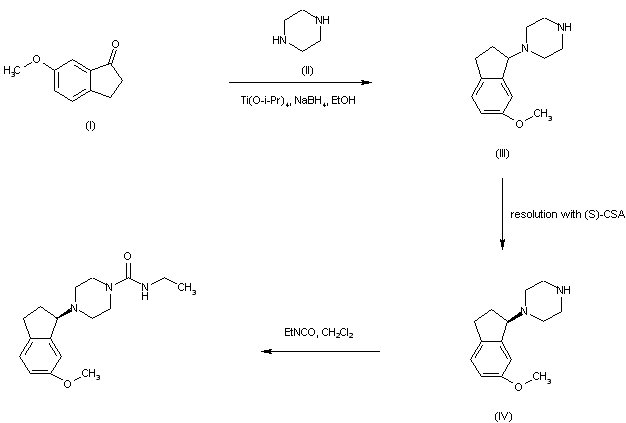
Reductive amination of 6-methoxy-1-indanone (I) with piperazine (II) in the presence of titanium isopropoxide and NaBH4 furnishes the indanyl piperazine (III). Racemic amine (III) is then resolved employing (S)-10-camphorsulfonic acid to provide the (R)-enantiomer (IV). Condensation of the optically active piperazine (IV) with ethyl isocyanate then affords the target urea (1-3).

参考文献No.62042
标题:Melatonergic indanyl piperazines
作者:Mattson, R.J.; Catt, J.D. (Bristol-Myers Squibb Co.)
来源:US 5780470
合成路线图解说明:

Reductive amination of 6-methoxy-1-indanone (I) with piperazine (II) in the presence of titanium isopropoxide and NaBH4 furnishes the indanyl piperazine (III). Racemic amine (III) is then resolved employing (S)-10-camphorsulfonic acid to provide the (R)-enantiomer (IV). Condensation of the optically active piperazine (IV) with ethyl isocyanate then affords the target urea (1-3).

参考文献No.725406
标题:Indanyl piperazines as melatonergic MT2 selective agents
作者:Mattson, R.J.; Catt, J.D.; Keavy, D.; Sloan, C.P.; Epperson, J.; Gao, Q.; Hodges, D.B.; Iben, L.; Mahle, C.D.; Ryan, E.; Yocca, F.D.
来源:Bioorg Med Chem Lett 2003,13(6),1199
合成路线图解说明:

Reductive amination of 6-methoxy-1-indanone (I) with piperazine (II) in the presence of titanium isopropoxide and NaBH4 furnishes the indanyl piperazine (III). Racemic amine (III) is then resolved employing (S)-10-camphorsulfonic acid to provide the (R)-enantiomer (IV). Condensation of the optically active piperazine (IV) with ethyl isocyanate then affords the target urea (1-3).

Drug Information Express,Drug R&D,Chemical Database,Patent Search.
Copyright © 2006-2026 Drug Future. All rights reserved.Contact Us