【药物名称】
化学结构式(Chemical Structure):
参考文献No.31705
标题:Diaryl-5-oxygenated-2-(5H)-furanones as COX-2 inhibitors
作者:Black, C.; Grimm, E.; Wang, Z.; Leger, S. (Merck Frosst Canada Inc.)
来源:EP 0828724; JP 1999505534; US 5691374; WO 9636623
合成路线图解说明:

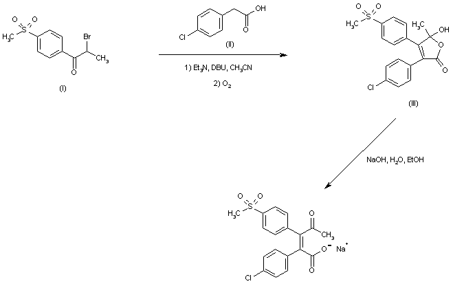
Condensation between 4-methylsulfonyl-2'-bromopropiophenone (I) and 4-chlorophenylacetic acid (II) in the presence of Et3N/DBU, followed by air oxidation, gives rise to the furanone derivative (III) (1). This is subsequently hydrolyzed with ethanolic NaOH to produce the title keto carboxylate compound (1,2).

参考文献No.725405
标题:3,4-Diaryl-5-hydroxyfuranones: Highly selective inhibitors of cyclooxygenase-2 with aqueous solubility
作者:Black, W.C.; Brideau, C.; Chan, C.-C.; Charleson, S.; Cromlish, W.; Gordon, R.; Grimm, E.L.; Hughes, G.; Leger, S.; Li, C.-S.; Riendau, D.; Therien, M.; Wang, Z.; Xu, L.-J.; Prasit, P.
来源:Bioorg Med Chem Lett 2003,13(6),1195
合成路线图解说明:

Condensation between 4-methylsulfonyl-2'-bromopropiophenone (I) and 4-chlorophenylacetic acid (II) in the presence of Et3N/DBU, followed by air oxidation, gives rise to the furanone derivative (III) (1). This is subsequently hydrolyzed with ethanolic NaOH to produce the title keto carboxylate compound (1,2).

Drug Information Express,Drug R&D,Chemical Database,Patent Search.
Copyright © 2006-2026 Drug Future. All rights reserved.Contact Us