【药物名称】
化学结构式(Chemical Structure):
参考文献No.29691
标题:LTA4 hydrolase inhibitor pharmaceutical compsns. and methods of use
作者:Chandrakumar, N.S.; Chen, B.B.; Clare, M.; Desai, B.N.; Djuric, S.W.; Docter, S.H.; Gasiecki, A.F.; Haack, R.A.; Liang, C.-D.; Miyashiro, J.M.; Penning, T.D.; Russell, M.A.; Yu, S.S. (Pfizer Inc.)
来源:JP 1998512542; WO 9610999
合成路线图解说明:

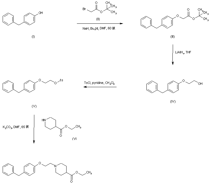
4-Hydroxydiphenylmethane (I) is condensed with tert-butyl bromoacetate (II) in the presence of NaH and Bu-4NI to form the aryloxyacetate adduct (III). Ester group reduction in (III) employing LiAlH4 provides alcohol (IV), which is further treated with p-toluenesulfonyl chloride in pyridine, yielding tosylate (V) (1,2). Finally, condensation of tosylate (V) with ethyl isonipecotate (VI) furnishes the title compound (1-3).

合成路线图解说明:

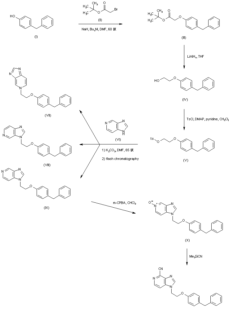
Alkylation of 4-hydroxydiphenylmethane (I) with tert-butyl bromoacetate (II) in the presence of NaH and Bu4NI in DMF affords ether (III). The ester function of (III) is then reduced by LiAlH4 to furnish the primary alcohol (IV), which is subsequently activated as the corresponding tosylate (V) (1,2). Condensation of tosylate (V) with 5-azabenzimidazole (VI) gives rise to a mixture of the three possible regioisomers (VII), (VIII) and (IX), which can be separated by means of flash chromatography. The desired isomer (IX) is then converted to the N-oxide (X) employing m-chloroperbenzoic acid in CHCl3 (1-3). Finally, reaction of N-oxide (X) with cyanotrimethylsilane produces the target nitrile (3).

参考文献No.29705
标题:LTA4 hydrolase inhibitors
作者:Chandrakumar, N.S.; Chen, B.B.; Clare, M.; Desai, B.N.; Djuric, S.W.; Docter, S.H.; Gasiecki, A.; Haack, R.A.; Liang, C.-D.; Miyashiro, J.M.; Penning, T.D.; Russell, M.A.; Yu, S.S. (Pfizer Inc.)
来源:EP 0804427; EP 1221441; JP 1998512848; WO 9611192
合成路线图解说明:

4-Hydroxydiphenylmethane (I) is condensed with tert-butyl bromoacetate (II) in the presence of NaH and Bu-4NI to form the aryloxyacetate adduct (III). Ester group reduction in (III) employing LiAlH4 provides alcohol (IV), which is further treated with p-toluenesulfonyl chloride in pyridine, yielding tosylate (V) (1,2). Finally, condensation of tosylate (V) with ethyl isonipecotate (VI) furnishes the title compound (1-3).

合成路线图解说明:

Alkylation of 4-hydroxydiphenylmethane (I) with tert-butyl bromoacetate (II) in the presence of NaH and Bu4NI in DMF affords ether (III). The ester function of (III) is then reduced by LiAlH4 to furnish the primary alcohol (IV), which is subsequently activated as the corresponding tosylate (V) (1,2). Condensation of tosylate (V) with 5-azabenzimidazole (VI) gives rise to a mixture of the three possible regioisomers (VII), (VIII) and (IX), which can be separated by means of flash chromatography. The desired isomer (IX) is then converted to the N-oxide (X) employing m-chloroperbenzoic acid in CHCl3 (1-3). Finally, reaction of N-oxide (X) with cyanotrimethylsilane produces the target nitrile (3).

参考文献No.725397
标题:Synthesis of imidazopyridines and purines as potent inhibitors of leukotriene A4 hydrolase
作者:Penning, T.D.; Chandrakumar, N.S.; Desai, B.N.; Djuric, S.W.; Gasiecki, A.F.; Malecha, J.W.; Miyashiro, J.M.; Russell, M.A.; Askonas, L.J.; Gierse, J.K.; Harding, E.I.; Highkin, M.K.; Kachur, J.F.; Kim, S.H.; Villani-Price, D.; Pyla, E.Y.; et al.
来源:Bioorg Med Chem Lett 2003,13(6),1137
合成路线图解说明:

Alkylation of 4-hydroxydiphenylmethane (I) with tert-butyl bromoacetate (II) in the presence of NaH and Bu4NI in DMF affords ether (III). The ester function of (III) is then reduced by LiAlH4 to furnish the primary alcohol (IV), which is subsequently activated as the corresponding tosylate (V) (1,2). Condensation of tosylate (V) with 5-azabenzimidazole (VI) gives rise to a mixture of the three possible regioisomers (VII), (VIII) and (IX), which can be separated by means of flash chromatography. The desired isomer (IX) is then converted to the N-oxide (X) employing m-chloroperbenzoic acid in CHCl3 (1-3). Finally, reaction of N-oxide (X) with cyanotrimethylsilane produces the target nitrile (3).

Drug Information Express,Drug R&D,Chemical Database,Patent Search.
Copyright © 2006-2026 Drug Future. All rights reserved.Contact Us