【药物名称】
化学结构式(Chemical Structure):
参考文献No.8707
标题:3-Hetero-substd.-N-benzyl-indoles
作者:Yamamoto, H.; et al. (Sumitomo Chemical Co., Ltd.)
来源:US 3907812
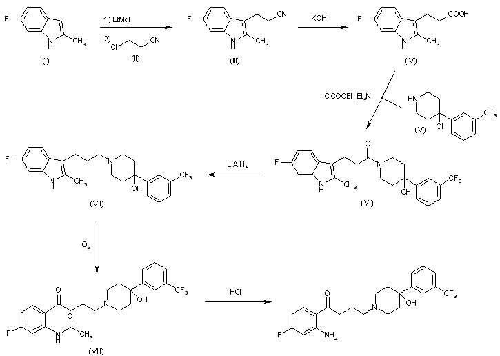
合成路线图解说明:

The condensation of 6-fluoro-2-methylindole (I) with beta-chloropropionitrile (II) by means of ethylmagnesium iodide (that forms the magnesium salt of (I)) in refluxing ether gives 3-(6-fluoro-2-methyl-3-indolyl)propionitrite (III), which is hydrolyzed with KOH in refluxing water yielding 3-(6-fluoro-2-methyl-3-indolyl)propionic acid (IV) (1). The condensation of (IV) with 4-hydroxy-4-(3-trifluoromethylphenyl)piperidine (V) by means of ethyl chloroformate and triethylamine in refluxing THF affords 1-[3-(6-fluoro-2-methyl-3-indolyl)propionyl]-4-hydroxy-4-(3-trifluromethylphenyl)piperidine (VI), which is reduced with LiAlH4 in refluxing THF giving 1-[3-(6-fluoro-2-methyl-3-indolyl)propyl]-4-hydroxy-4-(3-trifluoromethylphenyl)piperidine (VII). The ozonolysis of (VII) in HOAc affords 1-[3-(2-acetamido-4-fluorobenzoyl)propyl]-4-hydroxy-4-(3-trifluoromethylphenyl)piperidine (VIII), which is finally hydrolyzed with concentrated HCl in refluxing EtOH

合成路线图解说明:

Sulfenylation of the Grignard reagent derived from ethyl 5-chloroindole-2-carboxylate (I) with S-phenyl benzenethiosulfonate affords the 3-phenylsulfanyl indole (II). This is then alkylated with 4-chlorobenzyl chloride (III) in the presence of potassium hexamethyldisilazide to yield the N-benzyl indole derivative (IV). Finally, hydrolysis of ethyl ester (IV) by means of potassium trimethylsilanolate under anhydrous conditions produces the target carboxylic acid (1,2).

参考文献No.16843
标题:3-Hetero-substd.-N-benzyl-indoles and prevention of leucotriene synthesis therewith
作者:Gillard, J.W.; Morton, H.E.; Fortin, R.; Guindon, Y. (Merck Frosst Canada Inc.)
来源:US 5081138
合成路线图解说明:

Sulfenylation of the Grignard reagent derived from ethyl 5-chloroindole-2-carboxylate (I) with S-phenyl benzenethiosulfonate affords the 3-phenylsulfanyl indole (II). This is then alkylated with 4-chlorobenzyl chloride (III) in the presence of potassium hexamethyldisilazide to yield the N-benzyl indole derivative (IV). Finally, hydrolysis of ethyl ester (IV) by means of potassium trimethylsilanolate under anhydrous conditions produces the target carboxylic acid (1,2).

Drug Information Express,Drug R&D,Chemical Database,Patent Search.
Copyright © 2006-2026 Drug Future. All rights reserved.Contact Us