【药物名称】VPC-32104
化学结构式(Chemical Structure):
参考文献No.722983
标题:Synthesis and biological evaluation of lysophosphatidic acid (LPA) antagonists
作者:Heasley, B.H.; MacDonald, T.L.; Lynch, K.R.
来源:225th ACS Natl Meet (March 23 2003, New Orleans) 2003,Abst MEDI 248
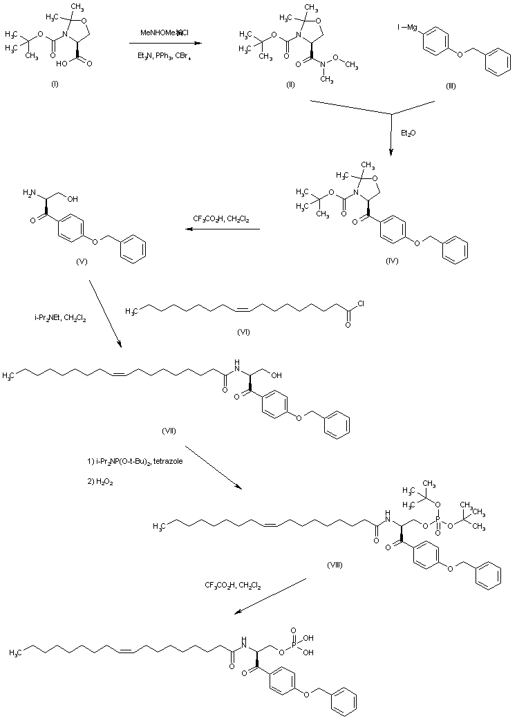
合成路线图解说明:

The protected serine derivative (I) is converted into the corresponding Weinreb amide (II) upon coupling with N,O-dimethyl hydroxylamine in the presence of CBr4/PPh3. Reaction of (II) with 4-(benzyloxy)phenylmagnesium iodide (III) affords ketone (IV). Subsequent acidic cleavage of the protecting groups of (IV) leads to the hydroxy amino ketone (V). This is then acylated by oleoyl chloride (VI) to furnish amide (VII). Phosphitylation of the primary alcohol group of (VII) with di-tert-butyl N,N-diisopropylphosphoramidite, followed by oxidation with H2O2 gives rise to phosphate ester (VIII). The tert-butyl groups of (VIII) are finally cleaved by means of trifluoroacetic acid in CH2Cl2 to provide the title compound.

Drug Information Express,Drug R&D,Chemical Database,Patent Search.
Copyright © 2006-2026 Drug Future. All rights reserved.Contact Us