【药物名称】
化学结构式(Chemical Structure):
参考文献No.722988
标题:Synthesis and biological evaluation of novel cytotoxic phospholipids for prostate cancer
作者:Durgam, G.; Hong, S.S.; Gududuru, V.; Hurh, E.; Xu, H.; Dalton, J.T.; Miller, D.D.
来源:225th ACS Natl Meet (March 23 2003, New Orleans) 2003,Abst MEDI 82
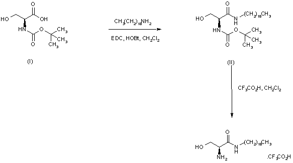
合成路线图解说明:

N-Boc-L-Serine (I) is coupled to nonadecyl amine by means of EDC/HOBt, producing the serinamide derivative (II). Subsequent deprotection of the N-Boc group of (II) with trifluoroacetic acid in CH2Cl2 furnishes the required N-nonadecyl serinamide.

Drug Information Express,Drug R&D,Chemical Database,Patent Search.
Copyright © 2006-2026 Drug Future. All rights reserved.Contact Us