【药物名称】
化学结构式(Chemical Structure):
参考文献No.60520
标题:Thrombin inhibitors
作者:Selnick, H.G.; Newton, R.C.; Newton, C.L.; Barrow, J.C.; Nantermet, P.G. (Merck & Co., Inc.)
来源:WO 0311222
合成路线图解说明:

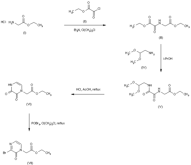
The bromo pyrazinone intermediate (VII) has been obtained as follows. The condensation of ethyl glycinate (I) with ethoxalyl chloride (II) by means of TEA in dichloroethane gives the corresponding amide (III), which is condensed with aminoacetaldehyde dimethyl acetal (IV) in isopropanol to yield the diamide (V). The cyclization of (V) by means of HCl in refluxing AcOH affords the hydroxypyrazinone (VI), which is finally treated with POBr3 in refluxing 1,2-dichloroethane to provide the target bromopyrazinone intermediate (VII) (1).

合成路线图解说明:

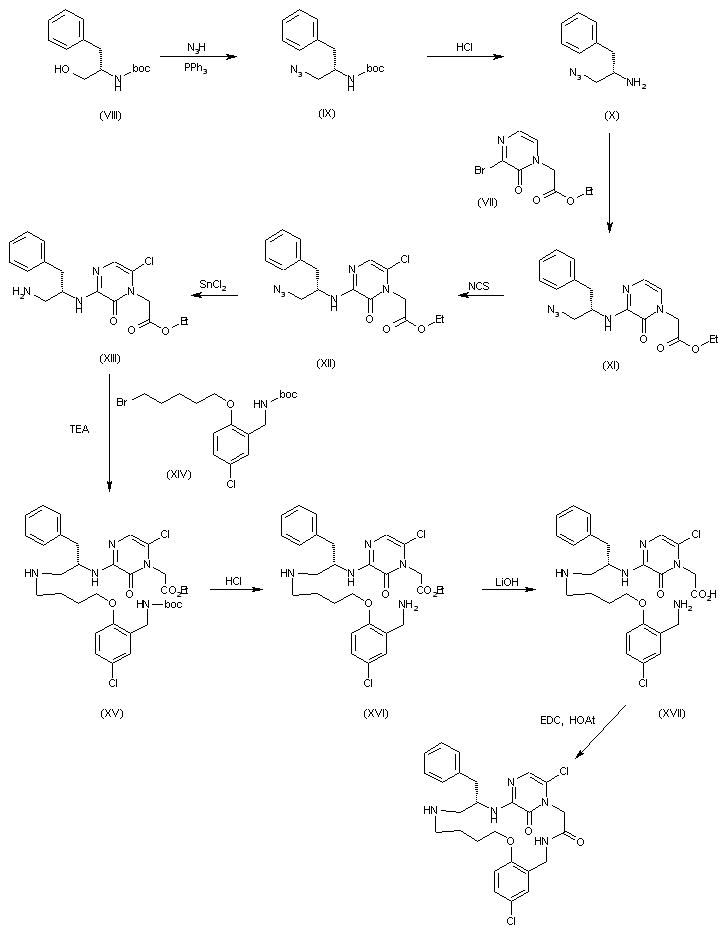
The reaction of N-(2(S)-benzyl-3-hydroxypropyl)carbamic acid tert-butyl ester (VIII), with sodium azide and PPh3 gives the corresponding 3-azido derivative (IX), which is deprotected to afford 3-azido-2(S)-benzylpropylamine (X). The condensation of (X) with the intermediate bromopyrazinone (VII) by means of TEA in hot ethanol provides the secondary amine (XI), which is chlorinated with NCS in hot dichloroethane to give the chloropyrazinone (XII). The reduction of the azido group of (XII) by means of SnCl2 in methanol/THF yields the primary amine (XIII), which is condensed with the Boc protected 2-(5-bromopentyloxy)-5-chlorobenzylamine (XIV) by means of triethylamine in DMF to afford the linear precursor (XV). The deprotection of the NH2 group of (XV) by means of HCl provides the benzylamine derivative (XVI), which is treated with LiOH in THF to furnish the aminoacid precursor (XVII). Finally this compound is cyclized by means of EDC and HOAt to obtain the target macrolactam (1, 2).

合成路线图解说明:

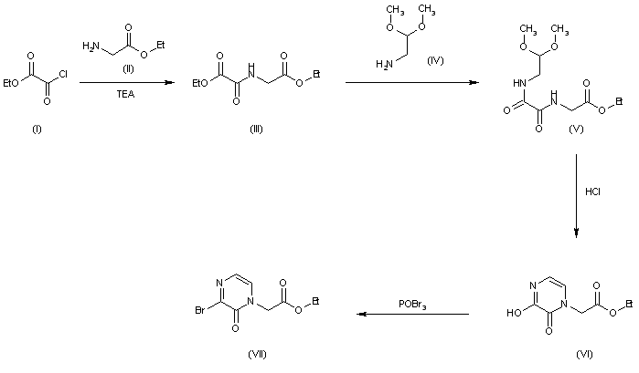
Acylation of glycine ethyl ester (I) with ethyl oxalyl chloride (II) affords amide (III). Subsequent reaction of (III) with aminoacetaldehyde dimethyl acetal (IV) produces the oxalic acid diamide (V). Cyclization of (V) under acidic conditions furnishes the pyrazine dione (VI), which is further brominated to (VII) employing phosphorus oxybromide.

合成路线图解说明:

Mitsunobu coupling of N-Boc-L-phenylglycinol (VIII) with hydrazoic acid affords azide (IX). Subsequent acidic cleavage of the N-Boc protecting group of (IX) furnishes amino azide (X). This is then condensed with the bromopyrazinone (VII) upon heating at 110 C in a pressure vessel to furnish adduct (XI). Treatment of (XI) with N-chlorosuccinimide in hot dichloroethane gives rise to the chloropyrazinone (XII). The azido group of (XII) is then reduced to the corresponding amine (XIII) employing SnCl2 in MeOH/THF (1,2).

合成路线图解说明:

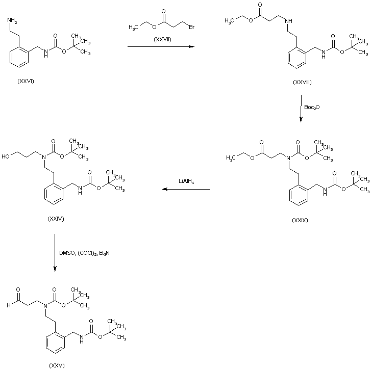
The intermediate aldehyde (XXV) has been prepared by two related procedures. Benzylic bromination of o-tolylacetic acid (XIV) employing NBS and AIBN leads to bromo acid (XV), which is further converted into the tert-butyl ester (XVI) upon treatment with isobutylene and sulfuric acid. Bromide group displacement in (XVI) with NaN3 in hot DMF affords azide (XVII). This is then reduced by catalytic hydrogenation to the corresponding primary amine, which can be isolated as the more stable oxalate salt (XVIII). After protection of amine (XVIII) as the N-Boc derivative (XIX), selective reduction of the ester function employing LiAlH4 in cold Et2O gives rise to alcohol (XX). Further bromination of alcohol (XX) to produce (XXI) is accomplished by treatment with CBr4 and PPh3. Bromide (XXI) is condensed with 3-amino-1-propanol (XXII) yielding amino alcohol (XXIII), which is subsequently protected as the di-Boc derivative (XXIV). Swern oxidation of alcohol (XXIV) generates the required aldehyde intermediate (XXV).

合成路线图解说明:

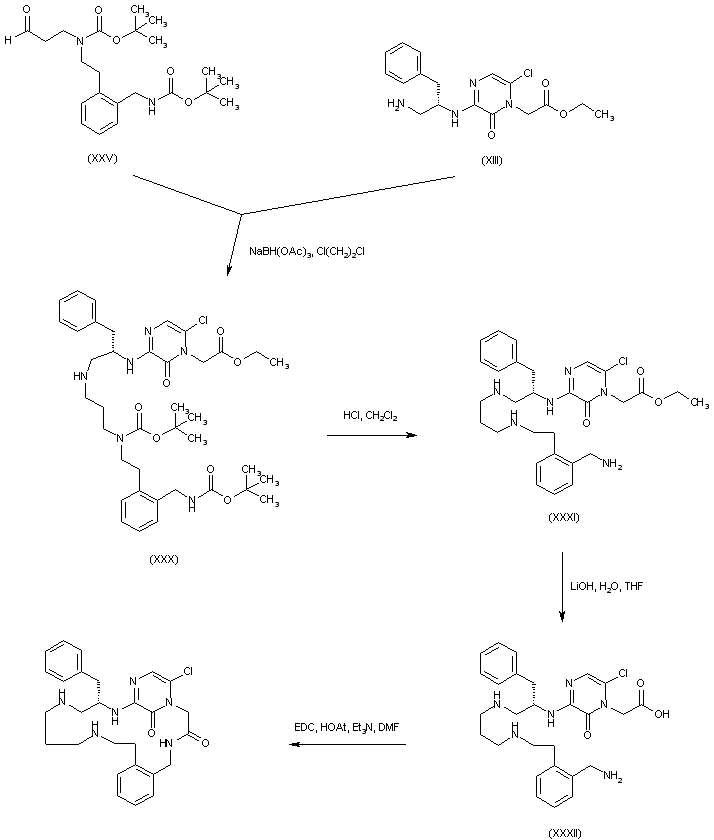
Reductive condensation between aldehyde (XXV) and amine (XIII) in the presence of NaBH(OAc)3 leads to adduct (XXX). The N-Boc protecting groups of (XXX) are then cleaved under acidic conditions yielding tetra-amine (XXXI). Saponification of the ethyl ester group of (XXXI) with LiOH furnishes amino acid (XXXII). Finally, the title compound is obtained by macrocyclization of (XXXII) employing EDC/HOAt as the coupling reagent (1,2).

参考文献No.722978
标题:Design and synthesis of potent and selective macrocyclic thrombin inhibitors
作者:Nantermet, P.G.; Barrow, J.C.; Newton, C.L.; Pellicore, J.M.; Young, M.; Lewis, S.D.; Lucas, B.J.; Krueger, J.A.; McMasters, D.R.; Youwei, Y.; Kuo, L.C.; Vacca, J.P.; Selnick, H.G.
来源:225th ACS Natl Meet (March 23 2003, New Orleans) 2003,Abst MEDI 168
合成路线图解说明:

Mitsunobu coupling of N-Boc-L-phenylglycinol (VIII) with hydrazoic acid affords azide (IX). Subsequent acidic cleavage of the N-Boc protecting group of (IX) furnishes amino azide (X). This is then condensed with the bromopyrazinone (VII) upon heating at 110 C in a pressure vessel to furnish adduct (XI). Treatment of (XI) with N-chlorosuccinimide in hot dichloroethane gives rise to the chloropyrazinone (XII). The azido group of (XII) is then reduced to the corresponding amine (XIII) employing SnCl2 in MeOH/THF (1,2).

合成路线图解说明:

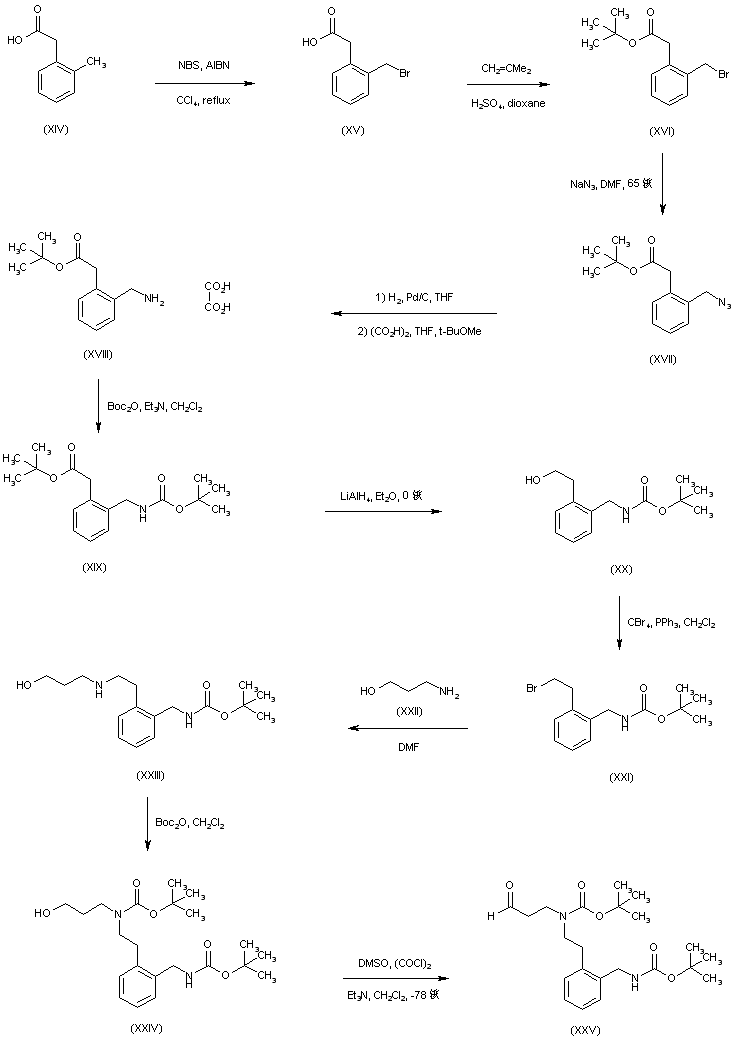
In a related synthesis of (XXV) starting from the mono-protected diamine (XXVI), alkylation with ethyl 3-bromopropionate (XXVII) leads to amino ester (XXVIII), which is further protected as the di-Boc derivative (XXIX). Reduction of ester (XXIX) employing LiAlH4 furnishes alcohol (XXIV), which is further oxidized to aldehyde (XXV) under Swern conditions.

合成路线图解说明:

Reductive condensation between aldehyde (XXV) and amine (XIII) in the presence of NaBH(OAc)3 leads to adduct (XXX). The N-Boc protecting groups of (XXX) are then cleaved under acidic conditions yielding tetra-amine (XXXI). Saponification of the ethyl ester group of (XXXI) with LiOH furnishes amino acid (XXXII). Finally, the title compound is obtained by macrocyclization of (XXXII) employing EDC/HOAt as the coupling reagent (1,2).

Drug Information Express,Drug R&D,Chemical Database,Patent Search.
Copyright © 2006-2026 Drug Future. All rights reserved.Contact Us