【药物名称】
化学结构式(Chemical Structure):
参考文献No.39101
标题:Benzpyrido cycloheptane cpds. useful for inhibition of farnesyl protein transferase
作者:Baldwin, J.J.; Cooper, A.B.; Girijavallabhan, V.M.; Ganguly, A.; Reader, J.C.; Huang, C. (Pharmacopeia, Inc.; Schering Corp.)
来源:EP 0989983; JP 2002504144; WO 9857960
合成路线图解说明:

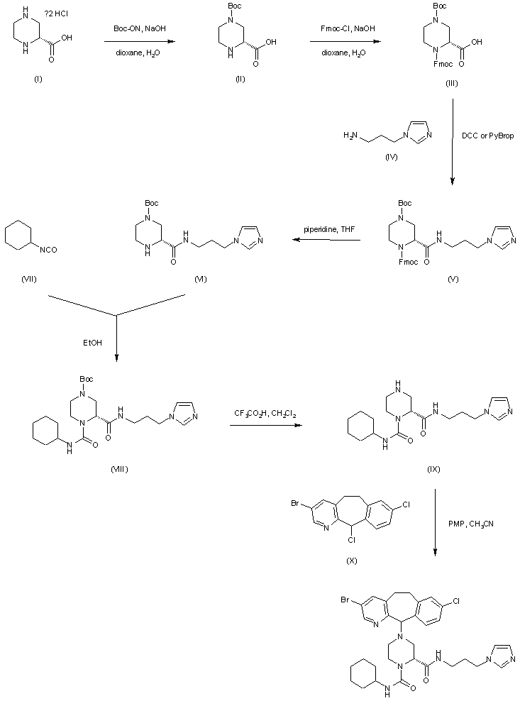
(R)-Piperazine-2-carboxylic acid (I) is sequentially protected with Boc-ON as the 4-Boc piperazine (II) and then with Fmoc-Cl to afford the 1-Fmoc-4-Boc-piperazine (III). Subsequent coupling of the protected piperazinecarboxylic acid (III) with 1-(3-aminopropyl)imidazole (IV) furnishes amide (V). The N-Fmoc group of (V) is selectively removed with piperidine in THF to provide amine (VI), which is further coupled with cyclohexyl isocyanate (VII), yielding urea (VIII). Then, the N-Boc protecting group of (VIII) is cleaved by means of trifluoroacetic acid to give (IX). Finally, condensation of piperazine (IX) with the tricyclic alkyl chloride (X) in the presence of 1,2,2,6,6-pentamethylpiperidine generates the title compound. (1,2)

参考文献No.721735
标题:Structural optimization of a farnesyl protein transferase inhibitor derived from a small molecule combinatorial library
作者:Huang, C.-Y.; Rokosz, L.L.; Stauffer, T.M.; Huang, H.; Li, G.; Reader, J.C.; Baldwin, J.J.
来源:225th ACS Natl Meet (March 23 2003, New Orleans) 2003,Abst MEDI 131
合成路线图解说明:

(R)-Piperazine-2-carboxylic acid (I) is sequentially protected with Boc-ON as the 4-Boc piperazine (II) and then with Fmoc-Cl to afford the 1-Fmoc-4-Boc-piperazine (III). Subsequent coupling of the protected piperazinecarboxylic acid (III) with 1-(3-aminopropyl)imidazole (IV) furnishes amide (V). The N-Fmoc group of (V) is selectively removed with piperidine in THF to provide amine (VI), which is further coupled with cyclohexyl isocyanate (VII), yielding urea (VIII). Then, the N-Boc protecting group of (VIII) is cleaved by means of trifluoroacetic acid to give (IX). Finally, condensation of piperazine (IX) with the tricyclic alkyl chloride (X) in the presence of 1,2,2,6,6-pentamethylpiperidine generates the title compound. (1,2)

Drug Information Express,Drug R&D,Chemical Database,Patent Search.
Copyright © 2006-2026 Drug Future. All rights reserved.Contact Us