【药物名称】
化学结构式(Chemical Structure):
参考文献No.39390
标题:Thienopyrimidine and thienopyridine derivs. useful as anticancer agents
作者:Sobolov-Jaynes, S.B.; Munchhof, M.J. (Pfizer Products Inc.)
来源:EP 1028964; JP 2001522853; WO 9924440
合成路线图解说明:

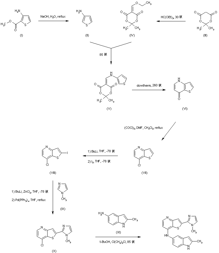
Decarboxylation of methyl 3-aminothiophene-2-carboxylate (I) in 2 N NaOH leads to 3-aminothiophene (II). Meldrum's acid (III) is condensed with triethyl orthoformate to produce the ethoxymethylene derivative (IV). Subsequent reaction of enol ether (IV) with 3-aminothiophene (II) gives rise to enamine (V), which is further cyclized to thienopyridinone (VI) upon heating in dowtherm A at 260 C. This is then chlorinated by means of oxalyl chloride to furnish 4-chlorothieno[3,2-b]pyridine (VII). Metalation of (VII) with butyllithium in cold THF, followed by treatment with I2 affords the aryl iodide (VIII). Palladium-catalyzed coupling of (VIII) with the lithiated derivative of 1-methylimidazole (IX) yields (X). Finally, displacement of the chloride group of (X) with 5-amino-2-methylindole (XI) provides the title compound.

参考文献No.721734
标题:Development of thienopyridines as VEGFR-2 kinase inhibitors
作者:Munchhof, M.J.; Adams, M.A.; Atherton, J.A.; et al.
来源:225th ACS Natl Meet (March 23 2003, New Orleans) 2003,Abst MEDI 129
合成路线图解说明:

Decarboxylation of methyl 3-aminothiophene-2-carboxylate (I) in 2 N NaOH leads to 3-aminothiophene (II). Meldrum's acid (III) is condensed with triethyl orthoformate to produce the ethoxymethylene derivative (IV). Subsequent reaction of enol ether (IV) with 3-aminothiophene (II) gives rise to enamine (V), which is further cyclized to thienopyridinone (VI) upon heating in dowtherm A at 260 C. This is then chlorinated by means of oxalyl chloride to furnish 4-chlorothieno[3,2-b]pyridine (VII). Metalation of (VII) with butyllithium in cold THF, followed by treatment with I2 affords the aryl iodide (VIII). Palladium-catalyzed coupling of (VIII) with the lithiated derivative of 1-methylimidazole (IX) yields (X). Finally, displacement of the chloride group of (X) with 5-amino-2-methylindole (XI) provides the title compound.

Drug Information Express,Drug R&D,Chemical Database,Patent Search.
Copyright © 2006-2026 Drug Future. All rights reserved.Contact Us