| 参考文献No. | 721732 |
| 标题: | Design and synthesis of novel water-soluble taxoids for tumor-activated prodrugs using anti-EGFR monoclonal antibodies |
| 作者: | Wu, X.; Lanigan, K.C.; Ojima, I. |
| 来源: | 225th ACS Natl Meet (March 23 2003, New Orleans) 2003,Abst MEDI 115 |
 |
| 合成路线图解说明: Baccatin (I) is protected by silylation at the secondary alcohol groups with tert-butyldimethylsilyl chloride and imidazole to afford the tris-silyl ether (II).Subsequent reductive cleavage of the benzoate ester of (II) by means of bis(methoxyethoxy)aluminum hydride leads to alcohol (III), which is then esterified with m-anisic acid (IV) to furnish (V). Desilylation of (V) employing HF in pyridine leads to tetraol (VI). Selective mono-acetylation of (VI) provides acetate (VII), which is further protected as the silyl ether (VIII) with triethylsilyl chloride and imidazole. |
 |
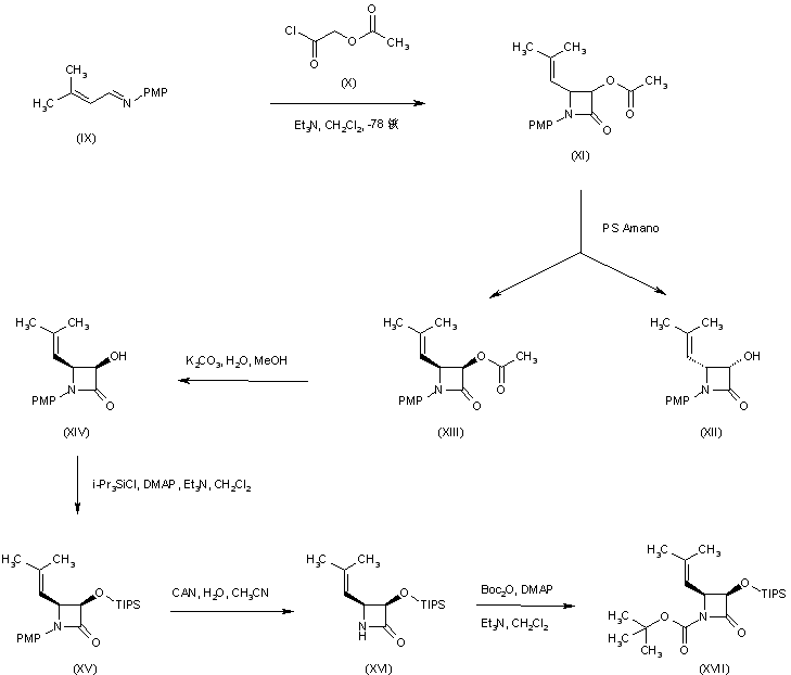
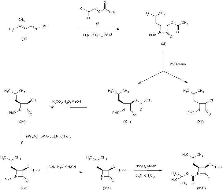
| 合成路线图解说明: Cycloaddition of 3-methyl-2-butenal imine (IX) to the ketene resulting from acetyloxyacetyl chloride (X) leads to the racemic cis beta-lactam (XI). Enzymatic resolution of (XI) gives rise to the (-)-alcohol (XII) along with unreacted (+)-acetate (XIII). Then, hydrolysis of acetate (XIII) employing K2CO3 furnishes hydroxy lactam (XIV). After protection of the hydroxyl group of (XIV) as the triisopropylsilyl ether (XV), the p-methoxyphenyl group of (XV) is oxidatively removed with ammonium cerium nitrate [CAN] to produce (XVI). Azetidinone (XVI) is subsequently protected as the N-Boc derivative (XVII) by means of Boc2O and DMP. |
 |
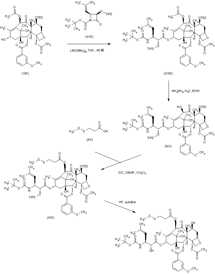
| 合成路线图解说明: Condensation of the modified baccatin (VIII) with beta-lactam (XVII) produces ester (XVIII). Selective cleavage of the secondary acetate ester of (XVIII) is then accomplished with hydrazine hydrate in EtOH to yield (XIX). Alcohol (XIX) is further esterified with 3-(methyldisulfanyl)propionic acid (XX) to afford (XXI). After desilylation of (XXI) with HF in pyridine, the resultant alcohol (XXII) is coupled to 3-(diethylamino)propionic acid to provide the title compound. |
 |
| 合成路线图解说明: Baccatin (I) is protected by silylation at the secondary alcohol groups with tert-butyldimethylsilyl chloride and imidazole to afford the tris-silyl ether (II). Subsequent reductive cleavage of the benzoate ester of (II) by means of bis(methoxyethoxy)aluminum hydride leads to alcohol (III), which is then esterified with m-anisic acid (IV) to furnish (V). Desilylation of (V) employing HF in pyridine leads to tetraol (VI). Selective mono-acetylation of (VI) provides acetate (VII), which is further protected as the silyl ether (VIII) with triethylsilyl chloride and imidazole. |
 |
| 合成路线图解说明: Cycloaddition of 3-methyl-2-butenal imine (IX) to the ketene resulting from acetyloxyacetyl chloride (X) leads to the racemic cis beta-lactam (XI). Enzymatic resolution of (XI) gives rise to the (-)-alcohol (XII) along with unreacted (+)-acetate (XIII). Then, hydrolysis of acetate (XIII) employing K2CO3 furnishes hydroxy lactam (XIV). After protection of the hydroxyl group of (XIV) as the triisopropylsilyl ether (XV), the p-methoxyphenyl group of (XV) is oxidatively removed with ammonium cerium nitrate [CAN] to produce (XVI). Azetidinone (XVI) is subsequently protected as the N-Boc derivative (XVII) by means of Boc2O and DMP. |
 |
| 合成路线图解说明: Condensation of the modified baccatin (VIII) with beta-lactam (XVII) produces ester (XVIII). Selective cleavage of the secondary acetate ester of (XVIII) is then accomplished with hydrazine hydrate in EtOH to yield (XIX). Alcohol (XIX) is further esterified with 3-(methyldisulfanyl)propionic acid (XX) to afford (XXI). This is finally desilylated with HF in pyridine to provide the title compound. |