【药物名称】PG-766969
化学结构式(Chemical Structure):
参考文献No.58159
标题:Triazole cpds. useful in treating diseases associated with unwanted cytokine activity
作者:De, B.; Natchus, M.G.; Blass, B.E.; Tullis, J.S.; Van Rens, J.C.; Clark, M.P. (The Procter & Gamble Co.)
来源:EP 1383759; WO 0288108
合成路线图解说明:

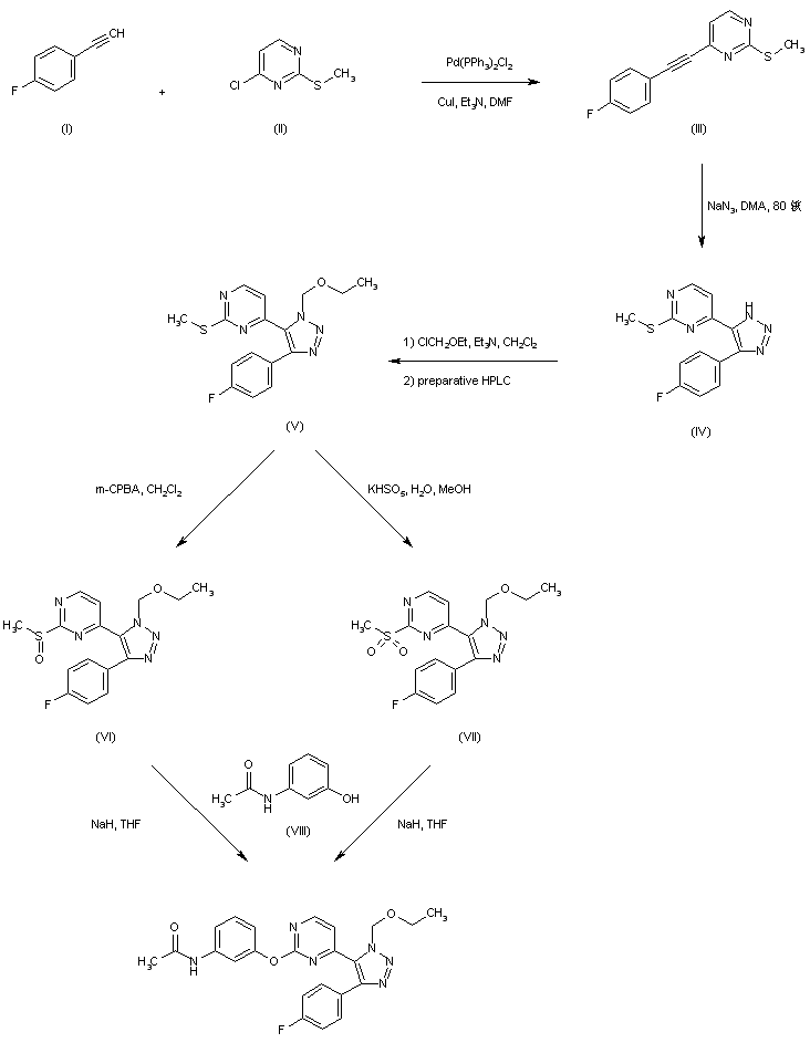
4-Fluorophenylacetylene (I) is coupled to 4-chloro-2-(methylsulfanyl)pyrimidine (II) by means of Pd(PPh3)2Cl2 and CuI to furnish the diaryl acetylene (III). Subsequent condensation of acetylene (III) with sodium azide in hot DMA leads to triazole (IV). Alkylation of (IV) with chloromethyl ethyl ether gives rise to the three possible N-alkylated triazoles, which can be separated by means of preparative HPLC (1,2). The desired regioisomer (V) is then oxidized to sulfoxide (VI) employing m-chloroperbenzoic acid (1). Alternatively, oxone? oxidation of (V) produces the corresponding sulfone (VII) (1,2). Finally, condensation of either sulfoxide (VI) or sulfone (VII) with the sodium salt of m-(acetylamino)phenol (VIII) provides the title compound (1,2).

参考文献No.722667
标题:Development of 1,2,3-triazole based inhibitors of tumor necrosis factor alpha (TNF-alpha) production
作者:Van Rens, J.C.; Clark, M.P.; Tullis, J.S.; Natchus, M.G.; De, B.; Hsieh, L.; Janusz, M.J.
来源:225th ACS Natl Meet (March 23 2003, New Orleans) 2003,Abst MEDI 259
合成路线图解说明:

4-Fluorophenylacetylene (I) is coupled to 4-chloro-2-(methylsulfanyl)pyrimidine (II) by means of Pd(PPh3)2Cl2 and CuI to furnish the diaryl acetylene (III). Subsequent condensation of acetylene (III) with sodium azide in hot DMA leads to triazole (IV). Alkylation of (IV) with chloromethyl ethyl ether gives rise to the three possible N-alkylated triazoles, which can be separated by means of preparative HPLC (1,2). The desired regioisomer (V) is then oxidized to sulfoxide (VI) employing m-chloroperbenzoic acid (1). Alternatively, oxone? oxidation of (V) produces the corresponding sulfone (VII) (1,2). Finally, condensation of either sulfoxide (VI) or sulfone (VII) with the sodium salt of m-(acetylamino)phenol (VIII) provides the title compound (1,2).

Drug Information Express,Drug R&D,Chemical Database,Patent Search.
Copyright © 2006-2026 Drug Future. All rights reserved.Contact Us